定義
自由空間是指:無任何衰減、無任何阻擋、無任何多徑的傳播空間。
理想的無線傳播條件是不存在的,一般認為只要地面上空的大氣層是各向同性的均勻媒質,其相對介電常數ε和相對導磁率μ都等於1,傳播路徑上沒有障礙物阻擋,到達接收天線的地面反射信號場強也可以忽略不計,在這樣的情況下,電波的傳播方式就被認為是在自由空間傳播。通常衛星通信和微波通信都被認為是在理想信道中的通信。
自由空間的傳播耗損
由於信號能量在自由空間的擴散,在傳播了一定距離後,信號能量也會發生衰減。
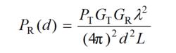
設各向同性的天線的輻射功率為PT,則距離輻射源dm處的天線接收功率PR(d)為:
自由空間傳播模型式中:GT為發射天線的增益;GR為接收天線的增益;L為與傳播無關的系統損耗因子;為波長,單位為m。由式(12.1)可知,在距離天線dm處的接收功率是T-R距離(發射機到接收機之間的距離)的函式,接收機接收到的功率隨T-R距離的平方衰減,接收功率與距離的關係為20dB/10倍程。
設D為天線的最大物理尺寸,df為離開天線的距離,如果有df>>D,並且df>>存在,通常將大於df的區域稱為遠場。式(12.1)必須是在遠場時才能適用,df與發射天線截面的最大線性尺寸和載波波長有關,如下式所示。
自由空間傳播模型發射機發射信號後,經過dm的傳播,功率因為輻射而受到損耗,這種損耗稱為路徑損耗。路徑損耗定義為有效發射功率與接收功率之間的差值。
路徑損耗按有增益和無增益兩種情況分別加以分析。
當在有增益的情況下,自由空間的路徑損耗為:
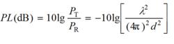
自由空間傳播模型在沒有增益時,即天線具有單位增益,GT和GR都為1,其路徑損耗為PL(dB):
自由空間傳播模型理想天線的發射功率EIRP定義為:
自由空間傳播模型EIRP=
理想天線是指在各個方向上具有相同單位增益的理想全向天線,它通常作為無線通信系統的參考天線。
在實際的使用中,常用有效發射功率來表示天線的最大發射功率。有效的發射功率比理想天線的發射功率低2.15dB。
產生多徑的原因
在無線通信中,衛星通信、微波通信的無線信道常常被認為是在自由空間傳播的。但是由於移動通信的信道情況極其複雜,它不僅受到氣候條件的影響,而且還要受到地形、建築物等多種因素的影響。
在無線通信系統中,影響傳播的3種最基本的因素為反射、繞射和散射。
反射發生在地球的表面、建築物等處,它是在電磁波遇到了比波長大得多的物體時發生的。
繞射是當接收機和發射機之間的無線路徑被尖利的邊緣阻擋時,電磁波就會發生繞射現象。由阻擋表面產生的二次波散布在空間中,甚至可以散布到阻擋體的背面。在高頻波段,繞射與反射一樣,與物體的形狀以及繞射點入射波的振幅、相位和極化的情況有關。
當電波傳播的介質中存在小于波長的物體,並且單位體積內阻擋體的個數非常巨大時,就會出現散射現象。散射波產生於粗糙表面、小物體或其他不規則的物體。在實際的無線通信系統中,樹葉、燈柱等都會引起散射。
3.1反射
電波傳播中遇到兩種不同介質的光滑界面時,就會產生反射。如果平面波入射到電介質的表面,則一部分能量進入第二介質,一部分能量反射回第一介質,沒有能量的損耗。如果第二介質是理想的反射體,則所有的入射能量被反射回第一介質。
在無線通信中,由於大地和大氣是不同的介質,所以入射波會在界面上產生反射,如圖1所示。
自由空間傳播模型圖中ht表示發射機高度,hr表示接收機高度。
在大多數無線通信系統中,最大的T-R距離最多為幾千米,這樣,可以把地面假設成一個平面,即電波在反射點的反射角等於入射角。不同界面的反射特性可用反射係數R來描述。反射係數定義為反射波場強與入射波場強的比值。
自由空間傳播模型式中:|R|為反射點反射波強度與入射波強度的振幅比;為反射波相對於入射波的相移。
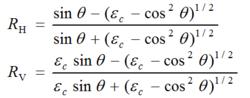
對於水平極化波和垂直極化波的反射係數RH和RV分別為:
自由空間傳播模型
自由空間傳播模型式中:εc為反射媒體的等效複合介電常數,與反射媒質的相對介電常數εr、電導率 和工作波長有關,即:
自由空間傳播模型對於地面反射,當工作頻率高於150MHz,θ<1°時,
RH=RV=-1。
即反射波場強的幅度等於入射波場強的幅度,而相位相差180°。
在距離發射機d處,並且考慮發射機和接收機增益的條件下,接收功率可以表示為:
自由空間傳播模型由此可見,接收功率隨距離的4次方衰減,比自由空間中的損耗要快得多。同時,從上式也可以看出,接收功率與路徑損耗、頻率都無關。
反射模型中的路徑損耗可以表示為:
自由空間傳播模型3.2繞射
繞射使得接收機處於阻擋物的陰影區時,繞射場依然存在並且常常具有足夠的強度。
繞射現象可由Huygens原理來解釋,它說明波前上的所有點可作為產生次級波的點源,這些次級波組合起來形成傳播方向上新的波前。繞射由次級波的傳播進入陰影區而形成。陰影區繞射波場強為圍繞阻擋物所有次級波的矢量和。
費涅爾區表示從發射機到接收機次級波路徑長度比總視距路徑長度大的連續區域,如圖2所示。圖中表示了一個費涅爾區,它是一個位於發射機和接收機之間的透明平面,同心圓表示從相鄰圓發出的次級波到達接收機路徑為,這些圓環就稱為費涅爾區。
自由空間傳播模型對移動通信來說,次級波的阻擋產生了繞射損耗,即僅有一部分能量能繞過阻擋體。部分費涅爾區發出的次級波被阻擋,根據阻擋體的幾何特徵,接收能量是非阻擋區所提供能量的矢量之和。
3.3散射
在無線通信系統中,接收端接收到的無線信號的強度要比採用繞射和反射模型估算出的強度高,主要原因是電波在傳播過程中,遇到了粗糙的表面,引起電波的散射而散布於所有方向。
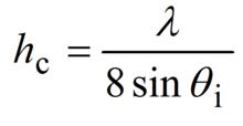
為了更加精確地估計電波傳播的特性,需要確定表面的粗糙程度。在給定入射角θi的情況下,定義表面平整度的參考高度hc為:
自由空間傳播模型如果平面上最大的突出高度h小於hc,則認為表面是光滑的,反之則是粗糙的。
自由空間傳播模型對於粗糙表面,需要對反射係數進行修正。表面高度h是具有局部平均值的高斯分布的隨機變數,為:
自由空間傳播模型
自由空間傳播模型式中:為表面高度的標準偏差;I0是第一類零階Bessel函式。
自由空間傳播模型套用:
在實際無線環境中,無線信號只要在第一菲涅爾區不受阻擋,就可以認為在自由空間傳播。這樣在傳播損耗估算的時候,就可以非常簡單。
