簡介
自由橫截性條件是由變分為零導出的極值函式在變動邊界上滿足的條件。
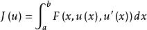
設泛函
自由橫截性條件
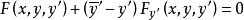
自由橫截性條件
自由橫截性條件
自由橫截性條件為固定端, 為變動端,在曲線λ上移動,λ的斜率為 ,極值曲線的自由橫截性條件為
自由橫截性條件推廣
自由橫截性條件建立了平穩曲線的切線斜率與曲線λ的切線斜率的關係,這裡的自由端在曲線λ上移動,稱為變動端點,相應變分問題稱為變動邊界變分問題。
實例
自由橫截性條件
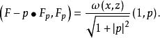
自由橫截性條件對於一元向量值函式 ,若 ,u是
自由橫截性條件的極小函式(或平穩點),(b,u(b))固定,而(a,u(a)) 在R中的正則曲面ℳ上移動,ℳ:G(x,z)=0,則曲線z=u(x)和曲面ℳ 在曲線的左端點P=(a,u(a)) 自由橫截,即滿足下列橫截性條件:
1、G(a,u(a))=0,即P∈ℳ;
2、向量 (a)=(F-u'·F,F)|x=a 正交於ℳ在P的切空間Tℳ。
變動邊界的橫截性條件稱為自由橫截性條件。
自由橫截性條件例如,設 ,則 z=u(x)和ℳ在x=a 的自由橫截性條件就是曲線 z=u(x) 與曲面ℳ 在P=(a,u(a)) 的正交性。這是因為
自由橫截性條件