原理
脈衝激振技術(Impulse Excitation Technique,IET)是指通過合適的外力衝擊試樣,給予試樣一個連續的脈衝波,當該連續脈衝波中某一頻率的波與試件本身的固有頻率相一致時,振幅最大,延時最長,這個共振波通過測試探針或感測器的傳遞轉換成電訊號送入計算機,由計算機分析處理獲得材料的固有頻率,有該頻率值可計算出材料楊氏模量、剪下模量、泊松比及阻尼比。特性
IET技術可以測試材料的楊氏模量、剪下模量、泊松比及阻尼比。

圖1 彎曲模式 圖2 扭曲模式
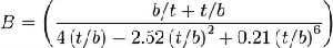
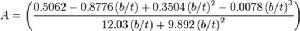
楊氏模量(也叫彎曲模量,E):是指材料在彎曲振動模式下獲得的固有頻率,如圖1,然後通過下式計算獲得的彈性模量,E。

- Eis Young's modulus
- mis mass
- ffis natural frequency in flexure dimension
- bis width
- Lis length
- tis thickness
剪下模量(Shear modulus,G)是指材料在扭曲振動模式下獲得的固有頻率,然後通過下式計算獲得的彈性模量,G。



- ftis the natural frequency in the torsion mode
- mis mass
- bis width
- Lis length
- tis thickness
阻尼比(Damping coefficient)是指材料在受激勵後,與材料發生共振後振動信號依據每種材料特有的屬性發生不同程度的衰減,如圖3。阻尼就是使自由振動衰減的各種摩擦和其他阻礙作用。
阻尼比是無單位量綱,表示了結構在受激振後振動的衰減形式。可分為等於1,等於0, 大於1,0~1之間4種,阻尼比=0即不考慮阻尼系統,結構常見的阻尼比都在0~1之間.


Where f = 1/T = ω/(2π)natural frequency
δ = ktthe logarithmic decrement
kthe exponential damping of the vibration signal
套用
該方法是一種高效、簡便且準確的測試方法,設備簡單,易於操作,容易實現高溫彈性模量的測試;可同時測試材料的楊氏模量、剪下模量和泊松比;該方法適用於各種固體材料,如玻璃、金屬、陶瓷、耐火材料、石墨、木材等等固體材料。該技術已被廣泛套用於研究與質量控制領域,適用於各種固體材料,如金屬、合金、陶瓷、玻璃、耐火材料、石墨等等。IET技術在解析度,量程和可靠性上超過其它原理的測試方法,是世界上公認的先進的非接觸測定各種材料彈性模量的一種理想檢測方法。
符合標準
該方法符合相關的標準有ISO12680-1-2007, Methods of test for refractory products - Part 1: Determination of dynamic Young's modulus (MOE) by impulse excitation of vibration;ASTM C 1548-2Dynamic Young’s Modulus ,Shear Modulus, and Poisson Ratio of Refractory Materials by Impulse Excitation of Vibration;ASTM E 1876-01(2009)Standard Test Method for Dynamic Young’s Modulus, Shear Modulus, and Poisson’s Ratio by Impulse Excitation of Vibration 固體材料楊氏模量、剪下模量和泊松比試驗方法(脈衝激振法)等。參考文獻
1 Impulse excitation technique.Wikipedia[引用日期 2014-05-23].2 阻尼比.百度百科[引用日期 2014-05-23].
