基本介紹
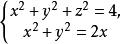
維維亞尼曲線是由方程組
維維亞尼曲線確立的曲線,其中第一個方程代表球面,第二個方程代表圓柱面,維維亞尼曲線即是兩個面的交線。
圖1 維維亞尼曲線維維亞尼曲線的參數方程
由維維亞尼曲線:
維維亞尼曲線圓柱面的方程即方程(2)可以寫為
維維亞尼曲線由圓的參數方程可得
維維亞尼曲線
維維亞尼曲線代入中即得
維維亞尼曲線故得所求的交線的參數方程為:
維維亞尼曲線例題解析
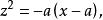
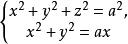
維維亞尼曲線【例1】一個半徑為a的球面與一個直徑為小於球面半徑的圓柱面,如果圓柱面通過球心,那么這時球面與圓柱面的交線叫做維維安尼(Viviani)曲線,這條曲線的方程可以寫為試求此曲線對三個坐標面的射影柱面方程。 .
分析 求曲線對於坐標面的射影柱的方程一般通過消變數的方法,這裡要注意變數的範圍 。
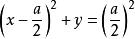
維維亞尼曲線解 顯見,曲線對xOy面的射影柱面為圓柱面,
消去y得
維維亞尼曲線
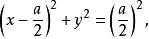
維維亞尼曲線由,知
維維亞尼曲線故
維維亞尼曲線
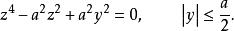
維維亞尼曲線
維維亞尼曲線從而曲線對xOz面的射影柱面是拋物柱面滿足的部分。
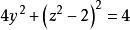
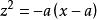
消去x得
維維亞尼曲線從而曲線對yOz面的射影柱面方程為
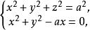
維維亞尼曲線【例2】求維維安尼(Viviani)曲線
維維亞尼曲線關於三個坐標面的投影柱面。
維維亞尼曲線
維維亞尼曲線
維維亞尼曲線
維維亞尼曲線解 所給方程中不含z,故它就是曲線關於XOY面的投影柱面方程,將其化為可看出該投影柱面是一個圓柱面,將所給兩個方程相減可得,可見曲線關於XOZ面的投影柱面是一個拋物柱面,從後一個投影柱面方程解出x,代入前一個投影柱面方程可得,這就是曲線關於YOZ面的投影柱面(圖2)。
圖2
