簡介
為了生產某些產品而訂購所需要原料,應該使用什麼標準來確定訂購的數量? 訂購怎樣的批量才能夠獲得最佳的投資效益? 現在,已經有了能夠解決這個問題的成熟的著作了。雷蒙德·費爾菲爾德於1931年寫了一本論經濟訂購量的書,該書提出了150條以上的算式,以解決可能出現的不同情況。自從該書問世以後,大量的作者詳盡地探討了這個課題,但是,他們在提出各種例子或辦法時總是警告說,使用一攬子標準來解決問題是危險的。經濟量的大小,只能以影響某一特定生產局面的各種外部因素來決定。這種情況常使各種計算方法更趨複雜化,且使所需進行的數學運算更加冗長和困難。為了使這些算式獲得最佳效果,需要經常地獲得最新信息。有著大量的庫存財務負擔的公司,計算機能夠對儲備控制提供很有價值的幫助。不過,人們也能夠建立一項簡便的處理法,即經濟批量。這項處理方法可以隨時加以調整使它能夠適應各種不同的需要,這項方法還可以擴充延伸,以便在複雜的情況中使用。
購買及保管儲備物資,除了要支付物資的購買價格之外,還要支付多種其他費用,主要為:占用資金的利息支出、訂購物資的行政開支及其他各種存貯費用,如建築物的折舊費,租金,地方捐稅,供暖,照明,機械操作設備,倉庫費用,工作人員薪給,存貯物品的老化過時,建築物及儲備物資的保險費用以及儲備物資變質報廢等等。
計算公式
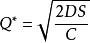
經濟訂貨量(Q*-- 經濟訂貨量、D -- 商品年需求量、S -- 每次訂貨成本、C --單位商品年保管費用)
訂貨費用
研究下因訂貨而支付的費用。一個規模很小的公司,訂購貨物的工作只不過由某個人兼任,或者就由公司的老闆兼任這項工作。這就很難把這位兼職的人在其領取的薪金中劃出一部分納入訂貨的費用之內。不過,即使如此,也應該計算因訂貨而支付的文具紙張及秘書工作的費用。在大公司里,是很容易估計訂貨費用的,因為大公司有獨立的採購部門。我們很容易把採購部門的總管理費用按全年發出的訂貨單予以分攤。可以使用一種加權方法來計算某項訂貨單的費用,這就是以總的購買價格或總的購買量為基礎通過一定程式的加權法計算,以求得訂貨費用。但是要十分注意這項方法是否對每一個具體情況都適用。提出每一項訂貨單實際需要的費用是差別很大的,有些低到只需幾角錢,有些則高到上百元。而談判巨額供貨契約的費用還可能占訂貨費用的一大部分。
存貯費用
有些類別費用是隨著存貯數量的變化而變化,而其他類別費用卻保持相當長的時間不變,如租金、地方稅、人員薪金及折舊費等,並不受庫存總額的影響。至於供暖、照明、用於操作的設備等,所得的費用有一部分是固定不變的,有一部分則是變動不定的。保險費的開支一般根據平均庫存量來計算,並加上一些其他十分不同的因素。上述有關項構成的固定存貯費用是很大的,這項固定費用加上很多較小的隨著庫存數量的增加而變化的變動不定的費用,就是總的存貯費用。為了表示各種變動成本之間的關係,通常的做法是,設存貯費用為從其起點為零的一條直線,總的訂貨費則為一矩形雙曲線。據此可以繪出一條總費用曲線,而兩線相交之點就是最低的費用。
經濟訂貨量延伸
雖然EOQ公式比較簡單明了,但是在實際套用時,還必須考慮其它一些因素。最常見的就是那些與各種費用調整有關的問題,這是為了利用特殊的購買形式和單位化(unitization)特徵而必須做出的調整。與EOQ延伸有關的三種調整分別是:運量費率、數量折扣、以及其它調整。
1、運量費率
在EOQ公式中,沒有考慮運輸成本對訂貨量的影響。在根據交付數量購買產品並且賣方支付了從產地到存貨目的地的運輸費用時,這種忽略有時可能是正確的,因為這是由賣方負責裝運,直至它抵達顧客的業務地點。然而,當產品的所有權在產地就已轉移,那么,在確定訂貨批量時,就必須考慮運輸費率對總成本的影響。
一般說來,一次訂貨的份量越重,從任何產地到目的地的每磅運輸成本就越低,因此,大批量裝運的運費費率折扣在卡車運輸和鐵路運輸中很普遍,可以在絕大多數的運輸費率結構中找到。於是,在其它各點都相同的條件下,一個企業自然希望以最經濟的運輸量來進行購買,該數量也許大於用EOQ方法確定的購買數量。例如,與已計算出來的EOQ訂貨批量300個單位數相比較,假設當訂貨批量為480個單位數時可以獲得最期望得到的運輸費率。較大的訂貨量的第一個影響就是將平均存貨從150個單位增加到240個單位。於是,以較大數量進行訂貨就會增加存貨儲囤成本。
第二個影響是減少了所需訂貨的次數。訂貨次數的減少就會增加裝運規模,於是就會提供更好的運輸經濟。
要完成這種分析,就必須明確地表示總成本中有無運輸節約。雖然這種計算可以直接通過修正EOQ公式完成,但是,通過比較可以提供更有意義的答案。唯一需要增加的數據就是按300個單位和480個單位數進行訂貨時所使用的運輸費率。這時,進行決策的依據就需要考慮運輸費用,選擇使總成本達到最低的方案。運輸費率對購買總成本的影響是不能被忽視的。如果運輸費用是由買方負責支付的話,任何EOQ方法都必須在批量的分類範圍內測試運輸成本的靈敏度。
一個值得注意的地方是:訂貨規模和每年的訂貨次數中所發生的大變化僅在維持和訂貨的總成本中產生不大的變化。對訂貨周期或訂貨頻率中出現的重大變化,EOQ公式的靈敏度要大得多。同樣地,成本因素中的重大變化也必然會大大影響經濟訂貨批量。
最後,在原產地購買的條件下,有關存貨成本的兩個因素值得注意(所謂原產地購買,是指當產品在運輸途中時,由買方負責運輸費用和產品的風險):第一,在裝運時,買方對存貨承擔全部的風險。根據支付貨款所需的時間,意味著中轉存貨有可能是企業平均存貨的一個組成部分,並因此而承擔適當的費用。繼之而來的是,重量分類中的任何變化,都將導致各種裝運方法在在途時間方面的不同,所增加的成本或節約的費用都應該在總成本分析中進行適當的評估。第二,購買價格中必須將運輸成本添加進去,以期精確地評估與存貨相關的貨物價值。一旦收到存貨,投資在產品中的金額必然會因運輸費用而增加。於是,存貨儲囤成本應根據產品項目加運輸費用的聯合成本進行評估。
2、數量折扣
數量折扣可以用基本的EOQ公式直接處理,它按照與給定的數量有關的價格計算總成本,以確定相應的EOQ值。如果任何數量上的折扣足以彌補增加的維持成本減去降低的訂貨成本,那么,數量折扣就提供了一種可行方案。但是,應該注意到的是,數量折扣和運量費率各自對較大的購買數量產生影響,總成本最低的購買並不是總在數量上大於用EOQ方法計算出來的訂貨數量。
3、其它EOQ調整
由於各種特殊的情況都會發生,因此需要對基本的EOQ方法進行調整。其中可以列舉的例子有:①批量生產;②多產品購買;③有限的資本;④私營卡車運輸等。從製造角度來看,批量生產規模是指最經濟的數量。多產品購買所描述的情況是指當同時購買一種以上產品時,必須要考慮數量折扣和運輸折扣對產品的組合所產生的影響。有限的資本是指存貨總投資中的預算受到種種限制。因為在預算限制內必須滿足產品線的需求,所以訂貨批量必須意識到存貨投資需要在整個產品線上進行分配。私營卡車運輸之所以會影響到訂貨量,是因為一旦決定補給產品,就意味著它是一種固定成本。也就是說,如果決定使用私營車隊運輸補給產品的話,企業就應該裝滿卡車而不管EOQ是多少。由於只裝半卡車的貨物是毫無道理的,所以廠商的定購批量就代表了EOQ。
在確定訂貨量時需要考慮的另一個因素是單位化特徵。許多產品是按標準進行儲備和運輸的,諸如貨櫃和托盤之類。既然這些標準化單位被設計用來專門適應運輸工具和搬運工具的,那么,當EOQ不是一種複式單位時,就有可能產生明顯的不經濟。例如,假定一個托盤能夠裝載200個單位的某種特定產品。如果使用EOQ為300個單位,這就意味著要裝運1.5個托盤。從搬運或運輸利用的角度來看,交替地或持續地定購一個或兩個托盤的貨,有可能效果更佳。在確定EOQ時,應該考慮使用標準的複試單位。
雖然用標準單位進行EOQ整合是重要的,但隨著有愈來愈多的託運人有能力並且願意提供組合單位或組合托盤,它們的重要性就下降了。組合單位或組合托盤包含了產品的組合,並且可以用來提供分類產品,同時保持運輸費用和搬運費用的節約。
間斷訂貨量
在現實中,並不是所有的再補給情況都適合於統一使用EOQ的計算方法。在許多製造作業的場合下,具體零部件需求的產生在間隔時間上趨向於沒有規律性,且需求量也變化莫測。這種沒有規律性的使用要求是一種因果需求,取決於生產計畫。也就是說,當製造作業發生時,所需組裝的零部件必須是可得的。在每次需求間隔期間,無需保持零部件存貨處於儲備狀態,只要它在需要時可得到就行了。相關需求(dependent demand)的存貨服務需要一種經調整過的方法來確定訂貨量,這種批量稱作“間斷訂貨量”(discrete lot sizing)。之所以把這種技術標識為“間斷的”意指採購收取的目的是在某個特定的時點上所要獲得的零部件等於淨需求。由於零部件需求此起彼伏,使用間斷訂貨量採購的數量將會在訂貨之間發生變化。有各種間斷訂貨量技術可供使用。
1、批量對批量
間斷性訂貨的最基本形式是要計畫採購,在一個特定的時期內彌補新的需求。在批量對批量(lot-for-lot sizing)的條件下,無需對訂貨成本加以考慮。在某種程度上,批量對批量技術是純粹以相關需求為導向的,因為它不需要考慮訂貨經濟。當採購的產品項目不太昂貴、需要量相對較小且無規律時,往往使用這種基本技術。批量對批量技術常使用電子訂單傳送和溢價運輸,以期最大限度地縮短處理和遞送時間。
2、定期訂貨量
定期訂貨量(period order quantity POQ)技術是在EOQ推理方法的基礎上建立起來的。這裡,要履行三個步驟才能完成零部件的採購收取。第一步,計算標準的EOQ;第二步,將EOQ除以已預測的年度使用量,以確定訂貨頻率;第三步,訂貨的次數除以相應的時間期(例如52個星期或12個月),以表示在時間期內的訂貨量。
POQ方法的主要優點是,它考慮存貨儲囤成本,並由此最大限度地減少存貨結轉量。其缺點類似於EOQ,POQ也需要穩定的需求量,以實現其充分的潛力。
3、時間序列量
時間序列量(time-series lot sizing)的最基本目的是要把幾個時期的需求量結合起來,形成一種採購收取的邏輯推理。時間序列方法是動態的,因為訂貨批量需要進行調整,以滿足當前的需求估計。這一特徵與基本的EOQ形成鮮明的對照,EOQ是靜態的,在某種程度上,一旦訂貨批量計算出來以後,它在需求的計畫時間內將保持不變。
動態訂貨量的關鍵是,需求量的表示是隨時間變化的,不像典型的EOQ基本方法,是隨每天或每周的使用比率變化的。假定有較大的使用波動,則訂貨批量可由批量系統替代,它能夠在給定的變化和間歇使用條件下計算經濟訂貨批量。在這裡,將要對三種這樣的技術將作廣泛的文字討論和簡短地回顧,它們是:最低單位成本、最低總成本和部分期間平衡。最低單位成本方法(least-unit- cost approach)是要對每庫存單位(SKU)所產生的成本最低的若干個時間周期的結合需求進行識別。初期識別一開始為淨需求,然後對每一個未來時期的每單位需求進行評估並對給定的若干時期的結合需求進行確定,且它們的單位成本是最低的。本質上,最低單位成本方法是要以遞增的供給星期數對未來的採購需求進行評估。第一個星期考慮一周的供給,接著要考慮第二個星期的供給增加數,每次選擇都要對單位成本進行評估,其中包括數量折扣、訂貨成本、存貨儲囤成本以及運輸成本等。雖然折扣、訂貨和運輸等成本將會隨著時間周期的增加導致平均單位成本下降,但由於增加了存貨,則存貨儲囤成本將會隨著時間周期的增加而增加。於是,訂貨批量和訂貨頻率將會在最低單位成本技術下發生相當大的變化。雖然這種方法確實能夠克服EOQ和POQ的靜態特徵,但是,這種技術會引起單位成本在時間周期之間發生很大的變化。
最低總成本方法(least-total-cost approach)是尋求在連續幾個時間周期內使總成本降低到最低限度的訂貨批量。在這個意義上,最低總成本,也即訂貨與儲囤的平衡,其目的上類似於EOQ。根據訂貨成本對儲囤成本的比率(C0/Ci)進行的計算,稱作部分經濟期間(economic part-period)。部分經濟期間規定了具體零部件的訂貨批量,如果以存貨方式儲囤一個期間,將會導致儲囤成本等於訂貨成本。最低總成本技術用於選擇與部分經濟期間的計算結果最接近的訂貨批量和間隔期。於是,訂貨批量可以保持相當統一,然而,隨著補給訂貨之間的時間流逝必然會發生相當大的差異。顯然,最低總成本技術克服了最低單位成本沒有考慮到的整個計畫期間優選的問題。
部分期間平衡(part-period balancing)是最低總成本技術的一種修正形式,結合進了一種特殊的調整程式,稱作向前看/向後看(look- ahead/look-back)。這種形式的主要好處,是把制定計畫的時間範圍擴展到超過一個以上的訂貨點,以便在計算訂貨批量時對所使用的高峰和低谷進行調整。有利於調整部分經濟期間。一般的程式是,獻測試向前看的特徵,確實是否有更多的時間產生接近於部分經濟期間的批量。如果向前看的結果保持訂貨批量不變,一般就需要利用向後看的方法。在這個意義上,向後看意味著是一種未來訂貨,以便在部分經濟期間的原則下對第四時期內的遞送做出計畫,提前確定如果早一點交付是否會降低總成本。從純效果的角度來看,結合進這種向前看/向後看的方法,就會把部分經濟期間的概念套用到同時考察多個時期中去。
總而言之,間斷訂貨批量的各種方法都是尋求克服在統一使用EOQ基本計算方法時所需作出的種種假設。雖然使用EOQ方法可以產生按固定的或可變的時間間隔進行統一的批量定購,但間斷訂貨批量技術則可提供更大的靈活性,以適應不規則使用存貨的情況。這裡考察的幾個方法已在不同程度上取得了成功。
方法評價
對經濟量的理論有許多批評,但並不是批評該方法在內容上的不足之處,而是批評那種不顧實際情況而不適當地隨便使用這種方法的態度。伯比奇教授在其1978年的著作《生產管理原理》中,對經濟批量提出的批評大略如下:
1、它是一項魯莽的投資政策——不顧有多少可供使用的資本,就確定投資的數額。
2、它強行使用無效率的多階段訂貨辦法,根據這種辦法所有的部件都足以不同的周期提供的。
3、它迴避準備階段的費用,更談不上分析及減低這項費用。
4、它與一些成功的企業經過實踐驗證的工業經營思想格格不入。
似乎那些專心要提高庫存物資周轉率,以期把費用減少到最低限度的公司會比物資儲備膨脹的公司獲得更多的利益。其它反對意見則認為.最低費用的訂貨批量並不一定意味著就獲利最多。
此外,許多公司使用了經另一學者塞繆爾·艾倫教授加以擴充修訂的經濟量法之後認為,在他們自己的具體環境條件下,該項方法要求進行的分析本身就足夠精確地指明這項方法的許多缺點所在,而其他方法則又不能圓滿地解決它們試圖要解決的問題。
