計算公式
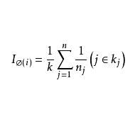
結構重要度計算公式kj--第j個最小割集
nj--第kj個最小割集的基本事件數
方法
結構重要度分析一般可以採用兩種方法,一種是精確求出結構重要度係數,一種是用最小割集或用最小徑集排出結構重要度順序。
求各基本事件的結構重要度係數
在事故樹分析中,各個事件都是兩種狀態,一種狀態是發生,即Xi=1;一種狀態是不發生,即Xi=0。各個基本事件狀態的不同組合,又構成頂上事件的不同狀態,即Φ(X)=1或Φ(X)=0。
在某個基本事件Xi的狀態由0變成1(即0i→LI),其他基本事件的狀態保持不變,頂上事件的狀態變化可能有三種情況:
| 1 | Φ(0i,X)=0→Φ(li,X)=0,則Φ(li,X)—Φ(0i,X)=0 |
| 2 | Φ(0i,X)=0→Φ(li,X)=1,則Φ(li,X)—Φ(0i,X)=1 |
| 3 | Φ(0i,X)=1→Φ(li,X)=1,則Φ(li,X)—Φ(0i,X)=0 |

