種類
POSS種類繁多,其具體區別主要依據R基的種類和個數,因此其套用範圍較廣,名稱也是根據R基的不同的取名,例如當R基為乙烯基、氨基、苯基時可分別稱之為乙烯基POSS、氨基POSS和苯基POSS。目前國內科研機構製備的POSS均是根據對材料性能和屬性的不同要求從而來選擇性的控制R基的性質和個數,不同的活性R基可以與不同的聚合物基體之間發生化學鍵合作用。
結構與性能
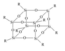
POSS是由Si-O交替連線的矽氧骨架組成的無機核心,其形狀如同一個“籠子”,故得名為籠型聚倍半矽氧烷,其三維尺寸在1.3nm之間,其中Si原子之間的距離為0.5nm,R基團之間距離為1.5nm,屬於納米化合物。
籠型框架
POSS的籠型框架結構使得其具有良好的介電性和光學性能,在增韌方面,POSS納米粒子能終止微裂紋尖端的發展,並能引發銀紋或者剪下帶或者分子鏈重新排列,“籠子”的彈性能夠起到類似“彈珠”的作用。
無機核心
Si-O交替連線的矽氧骨架組成的無機核心,能抑制聚合物分子的鏈運動而賦予雜化材料良好的熱穩定性、力學性能和阻燃性。Si-O鍵能為445.2KJ/mol,相比之下C-C鍵能為350.7KJ/mol,C-O鍵能為359.1KJ/mol,因此要想破壞POSS核心中的鍵所需能量較大。
納米尺度
POSS的三維尺寸均處於納米尺度範圍內,是典型的納米化合物,具備有納米粒子小尺寸效應,表面與界面效應,量子尺寸效應,巨觀量子隧道效應,從而具備較強綜合性能。
R基多變
POSS在聚合物中的套用主要取決於R基,R基可以為反應性的基團,如烯基、環氧基、氨基等等,可以通過反應性的R基來與聚合物之間發生接枝或者聚合反應,從而產生聚合物之間化學鍵合作用,引入POSS基,實現分子層上的均勻分散,提高聚合物性能。當R基為惰性基團,如烷基、亞烴基、芳基等等,可以調節POSS納米結構與聚合物之間的相容性。
1.籠型框架
POSS的籠型框架結構使得其具有良好的介電性和光學性能,在增韌方面,POSS納米粒子能終止微裂紋尖端的發展,並能引發銀紋或者剪下帶或者分子鏈重新排列,“籠子”的彈性能夠起到類似“彈珠”的作用。
2.無機核心
Si-O交替連線的矽氧骨架組成的無機核心,能抑制聚合物分子的鏈運動而賦予雜化材料良好的熱穩定性、力學性能和阻燃性。Si-O鍵能為445.2KJ/mol,相比之下C-C鍵能為350.7KJ/mol,C-O鍵能為359.1KJ/mol,因此要想破壞POSS核心中的鍵所需能量較大。
3.納米尺度
POSS的三維尺寸均處於納米尺度範圍內,是典型的納米化合物,具備有納米粒子小尺寸效應,表面與界面效應,量子尺寸效應,巨觀量子隧道效應,從而具備較強綜合性能。
4.R基多變
POSS在聚合物中的套用主要取決於R基,R基可以為反應性的基團,如烯基、環氧基、氨基等等,可以通過反應性的R基來與聚合物之間發生接枝或者聚合反應,從而產生聚合物之間化學鍵合作用,引入POSS基,實現分子層上的均勻分散,提高聚合物性能。當R基為惰性基團,如烷基、亞烴基、芳基等等,可以調節POSS納米結構與聚合物之間的相容性。
單官能團POSS
單官能團POSS
吊墜型POSS示意圖所謂單官能團POSS,指的是八個頂角的基團中只有一個是反應性基團,其餘七個均為惰性基團。這類單官能團POSS中的活性反應基團可以與多種聚合物單體反應,得到含POSS的共聚物,或將POSS接枝到聚合物主鏈上形成接枝共聚物,還可以封端基得到端基為POSS的雜化材料。採用單官能團主要得到的是吊墜型POSS,線型的吊墜POSS能夠提高氧滲透性、玻璃化轉變溫度和降解溫度,但是其阻燃性、密度和黏度會有所下降。
單官能團POSS多採用“頂端帶帽”的方法來合成,典型的反應就是將環戊基或者環己基三氯矽烷在丙酮的水溶液中水解製備得到T(OH)(即還有一個頂角未閉合,分別為三個羥基),然後再三乙胺的存在下加入另一種三氯矽烷,進行關環反應,得到閉合的籠型結構。
多官能團POSS
顧名思義,多官能團POSS就是R基部分或者全部是反應性基團,可以作為熱固性樹脂的交聯劑,形成高度交聯的POSS基聚合物納米雜化材料。與之對應的R基若全為惰性基團,則可以用於與聚合物共混製備雜化材料。
合成方法目前主要通過矽烷偶聯劑的水解得到,其他方法還包括“烷基取代法”等。
主要用途
POSS/聚合物納米複合材料是最新發展起來的一種高性能有機無機雜化材料,以POSS為無機成分,無機相與有機相間通過強的化學鍵結合,不存在無機粒子的團聚和兩相界面結合力弱的問題,因此很容易通過共聚、接枝或共混等方式與聚合物基體進行複合製備。POSS/聚合物納米複合材料的綜合性能優異,主要表現在:(1)可以使複合材料的使用溫度增加;(2)可以提高複合材料的力學性能;(3)可以改善複合材料的加工性能;(4)可以使複合材料具有顯著的延遲燃燒特性;(5)可以多功能化,將POSS作為封端基或交聯固化中心,可以獲得滿足不同需要的改性聚合物。

