基本介紹
立方倍積就是利用尺規作圖作一個立方體,使其體積等於已知立方體的二倍,這個問題也叫倍立方問題,也稱之為德里安問題、Delos問題。
立方倍積問題若已知立方體的棱長為1, 則立方倍積問題就可以轉化為方程 解的尺規作圖問題。根據尺規作圖準則,該方程之解無法作出,因此,立方倍積問題和三等分角問題、化圓為方問題一起,成為 古希臘三大幾何難題。立方倍積問題不能用尺規作圖方法解決的嚴格證明是法國數學家萬采爾(P.-L. Wantzel,1814-1848)於1837年給出的 。
立方倍積問題也叫 第羅斯問題,傳說愛琴海中第羅斯(Delos)島上發生瘟疫,人們求教於巫神,祈求去病除邪妙方,巫神說神諭:要去病除邪,須把神殿前立方體祭壇的體積擴大一倍,第羅斯人把原祭壇棱長放大一倍,發現新祭壇體積不是原祭壇之二倍,這時瘟疫流行更加嚴重,第羅斯人又去求教柏拉圖(Plato,公元前428-前348),柏拉圖告訴他們說巫神之意並不在於要雙倍大的祭壇,而只是為藉此譴責希臘人不重視數學,對幾何不夠尊崇。
立方倍積問題
立方倍積問題
立方倍積問題
立方倍積問題
立方倍積問題
立方倍積問題立方倍積問題提出後,二千多年來許多數學家相繼研究,發現只要不限於尺規作圖,運用特殊曲線(如圓錐曲線、蚌線、蔓葉線等),或是運用其它作圖工具,立方倍積問題是不難解決的。在這研究過程中,人們發現了不少特殊曲線,還發現了一些精確度很好的近似作圖法,公元前4世紀門內瑪斯(Menaechmus, 約前375-325)研究圓錐曲線時發現,利用圓錐曲線可以解決立方倍積問題,若要求線段x(方程 之根),可以作拋物線 與 ,其交點橫坐標即所求的 。 也可以作拋物線 與雙曲線 ,求交點的橫坐標 。
立方倍積問題的解決方法
問題來源
據數學家、歷史學家Eutocius(6世紀人)敘述,這個問題可追溯到古代的一個傳說。希臘數學家、天文學家、哲學家Eratosthenes(約前284~前192)曾在一本書中敘述:有一次,Delos地方瘟疫流行,居民們紛紛祈求神諭,巫神回答說,要想解除災難,必須博取上帝的憐恤,為此必須把太陽神廟中的立方體形金祭壇的體積增加一倍。於是居民們立即趕製了兩個同樣大小的金祭壇送到廟中,把一個疊在另一個的上面,以為這樣就滿足了把祭壇體積擴大一倍的要求。豈料瘟疫繼續流行,居民們只得再去祈求神諭,“我們已經把金祭壇增大了一倍,為什麼瘟疫還不停止流行?”巫神回答說,“不,你們沒有解決所提的問題,你們必須把金祭壇加大一倍,但不能改變立方體的形狀”。居民們解決不了這個問題,便去請教數學家、哲學家柏拉圖,柏拉圖搪塞地回答:“大概上帝不滿意你們很少研究幾何學吧!”但柏拉圖自己也未能解決這個作圖問題,這實際是個尺規作圖不能問題。
這當然是一個民間傳說,也許純屬虛構。不過,故事中提到的那個數學問題,卻是一個舉世聞名的幾何作圖難題,叫作立方倍積問題。
解決方法
立方倍積問題
立方倍積問題
立方倍積問題
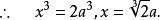
立方倍積問題設已知立方體的邊長為a,求作立方體的邊長為x,則 ,若取 ,則 。因此原問題可歸結為:“能否用尺規作出長為 的線段?” 。
立方倍積問題最早公開申明長為 的線段不能用尺規作出的是法國的笛卡爾。1637年,他提出了一個命題:非立方有理數的立方根不能簡化為有限次的開平方,從而不能用尺規作出。用尺規不能解立方倍積問題的嚴格證明,是法國數學家Wantzel在1837年給出的。
但是,如果允許使用某種輔助工具的話,立方倍積問題還是可以解決的,在林鶴一的《初等幾何學作圖不能問題》一書中,介紹了10種方法。
立方倍積問題
立方倍積問題希臘數學家Menaechmus(約前375~前325)的方法是利用兩條拋物線 ,因為其交點的橫坐標滿足 。
立方倍積問題
立方倍積問題笛卡爾的方法是利用拋物線和圓的交點。
立方倍積問題
立方倍積問題
立方倍積問題
立方倍積問題
立方倍積問題柏拉圖的方法是利用兩根普通的直角尺。如圖1,取相互垂直的兩直線m和n,交點為O,在直線m上取OC=a,在直線n上取OD=2a。將兩根木匠用的直角尺按圖所示放置,使一根尺的一邊(內側)經過點C,而直角頂點B(內側)在直線n上;使另一根直角尺的一邊(外側)經過點D,而頂點A(外側)在直線m上,然後使兩根尺子的另兩邊重合。這時,(若,則,從而,即)。
圖1最簡單的是如下 紙條作圖法:
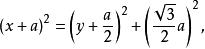
圖2(1)畫一個邊長為a的正三角形ABC,延長CA到D,使AD=a,作出DB線;
(2)取一筆直的紙條,在其邊緣上標出距離a;
立方倍積問題(3)按如下方法放置紙條,使紙條的邊緣通過點C,並使所標線段的兩個端點(P點和Q點)分別落在AB和DB的延長線上(見圖2),這時。
立方倍積問題
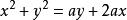
立方倍積問題其理由如下:直線DBQ截,根據梅內勞斯定理,有,即
立方倍積問題
立方倍積問題由於,利用勾股定理,得
立方倍積問題即
立方倍積問題由(1)、(2)消去y,得
立方倍積問題
立方倍積問題
立方倍積問題
