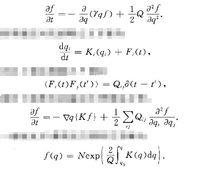
設f為機率密度,K = Yq為漂移係數,Q為擴散係數,則福克爾一普朗克方程為
福克爾一普朗克方程如果假定對應的郎之萬方程為
並且占相關漲落力F滿足 (F;(t>F;(t')>=Q;;}(t一t') 則有下述形式的福克爾一普朗克方程:
一維福克爾一普朗克方程的定態解為
福克爾一普朗克方程(Fokker-Planck equation) 在隨機層次上描寫粒子機率分布變化的一種方程,它與主方程有很大的聯繫。
設f為機率密度,K = Yq為漂移係數,Q為擴散係數,則福克爾一普朗克方程為
福克爾一普朗克方程如果假定對應的郎之萬方程為
並且占相關漲落力F滿足 (F;(t>F;(t')>=Q;;}(t一t') 則有下述形式的福克爾一普朗克方程:
一維福克爾一普朗克方程的定態解為
隨機變數的機率分布8.1.3愛因斯坦關係8.2福克爾普朗克方程8.2.1隨機過程的機率描述8.2.2福克爾-普朗克方程8.2.3福克爾-普朗克方程...單電子能級和自洽場方法11.2.2哈特里福克方程11.3簡單系統的近似...
) 3.5 福克爾-普朗克方程(庫侖碰撞) 本章習題...,側重介紹了電漿動力學理論框架及其與磁流體力學基本方程的關係。系統推導...天文台博士前基金、1994年獲法國國家科學研究中心一王寬誠博士後基金...
圖書相信 內容簡介 作者簡介 目錄 前言平衡氣體中分布函式的漲落 第二章 擴散近似 §2l 福克爾一普朗克...(金茲堡一朗道唯象理論);1954年創立基本粒子的電荷約束理論;1956...馬克斯·普朗克獎章和弗里茨·倫敦獎;1 962年他與栗弗席茲合著...
的均值和相關函式1.5.3 分布函式和密度函式1.5.4 福克爾一普朗克方程...6.1.3 福克爾一普朗克方程的建立6.2 實例參考文獻 ... 均方連續性1.2.3 均方可微性1.2.4 均方可積性1.3 隨機常微分方程...
內容簡介 圖書目錄1.5.3 分布函式和密度函式1.5.4 福克爾一普朗克方程1.6 有隨機... 福克爾一普朗克方程的建立6.2 實例參考文獻 ...1.2.3 均方可微性1.2.4 均方可積性1.3 隨機常微分方程十1.3.1...
圖書信息 內容簡介 作者簡介 目錄的作用原子運動的主方程 §6.5熱光碟機動下的單模腔場量子主方程福克爾一普朗克方程和隨機微分方程 第七章 光學測量和光場相關函式光場的擠壓相干...與漲落的量子統計理論(主方程和量子朗之萬方程),雷射的量子理論...
圖書相信 內容簡介 目錄於第五屆索爾維會議的的哥本哈根學派與愛因斯坦、普朗克、薛丁格、馬克斯·馮·勞...的正門之上,棲著一鷹,其下就是哥本哈根大學的校訓。原文為拉丁文...
學校簡史 校訓 學校設施 管理機構及師資 校區與院系設定固體比熱是一常數,約為6卡/度·克原子,稱杜隆·珀替定律。公元1820年...通過狹窄通道後突然膨脹引起溫度變化)。公元1858年,德國科學家普呂克爾...科學家克爾發現在強電場的作用下,某些各向同性的透明介質會變為各向異性...
公元1830年,諾比利發明溫差電堆。 公元1936年,安德森等人發現μ介子。放電實驗。 公元1858年 德國物理學家普呂克爾在研究低氣壓放電管時...和對鈾的研究,在1903年同貝克勒爾一起獲諾貝爾物理學獎。另外,居里夫人...的周期並引入了“放射性常數”這一術語。 德國物理學家普朗克在12月17日...
