神經網路
人工神經網路(Artificial Neural Network,簡稱 ANN)可以概括的定義為:由大量簡單的高度互連的神經元所組成的複雜網路計算系統。它是智慧型控制技術的主要分支之一,是以現代神經科學研究成果為基礎提出的,神經網路反映了人腦功能的一些基本特徵,是模擬人工智慧的一個很重要的方法。一般形式的神經網路就是對人腦完成特定任務或感興趣功能的方法進行建模的機器。人工神經網路既可以用硬體實現,也可以用軟體實現;既可以看做一種計算模式,也可以看做一種認知模式。因此,從本質上講,人工神經網路、並行分布處理、神經計算機是同一概念。在控制領域,神經網路扮演著一個極其重要的角色,隨著神經網路理論研究的不斷成熟與完善,神經網路已經用於控制領域的多個方面,如過程控制、生產控制、模式識別、決策支持等等。
預測控制
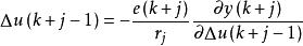
圖1 預測控制結構預測控制,即模型預測控制,是以各種不同的預測模型為基礎,採用線上滾動最佳化指標和反饋自校正策略,力求有效地克服受控對象的不確定性、遲滯和時變等因素的動態影響,從而達到預期的控制目標—— 參考軌跡輸入,並使系統具有良好的魯棒性和穩定性。因此,預測控制的系統組成大致包括:①參考軌跡;②預測模型;③滾動最佳化;④線上校正等四個部分,其結構如圖 1 所示。
神經網路預測控制簡介
神經網路具有函式逼近能力、自學習能力、複雜分類功能、聯想記憶功能、快速最佳化計算能力,以及高度並行分布信息存貯方式帶來的強魯棒性和容錯性等優點。神將經網路與模型預測控制相結合,為解決複雜工業過程的控制,提供了強有力的工具。
工業現場大多數實際動態系統本質上都是非線性系統,而非線性系統要比線性系統複雜得多,因為其不具有線性和疊加性。所以基於線性系統建模和最佳化的預測控制算法難於套用。另外,用來描述一般非線性系統的數學模型和基於各種核函式描述的模型都存在結構特定、辨識困難、處理複雜等問題,實際中套用很少。而神經網路能夠充分逼近複雜的非線性映射,具有學習與適應不確定系統的動態特性和較強的魯棒性及容錯性的特點,因此神經網路一出現便成為對非線性系統建立預測模型和最佳化控制的關鍵技術之一,並形成各種基於神經網路的預測控制算法。
從本質上講,神經網路預測控制還是預測控制,屬於智慧型型預測控制的範疇,它將神經網路技術與預測控制相結合,彌補了傳統預測控制算法精度不高、僅適用於線性系統、缺乏自學習和自組織功能、魯棒性不強的缺陷。它可以處理非線性、多目標、約束條件等異常情況。
利用神經網路能對任意的複雜非線性函式充分逼近,能夠學習和適應不確定系統的動態特性,能採用並行分布處理算法快速進行實時運算等特點,建立神經網路辨識模型作為預測模型。在此基礎上,求取控制律。
神經網路預測控制的形式
神經網路預測控制有以下兩種形式:
1) 滾動最佳化控制器和預測模型控制器都採用神經網路;
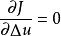
2) 滾動最佳化控制器採用其他算法(動態矩陣等),預測模型控制器採用神經網路,如圖2所示。
圖2 神經網路預測控制結構框圖分類
按照控制律求取方式的不同,神經網路預測控制可以分為以下兩種類型。
(1)基於線性化方法或疊代學習求解的神經網路預測控制。線性化方法一直是處理非線性問題的常用方法,通過各種線性化逼近,可以將非線性控制律的求解加以簡化,提高其實時計算速度。
(2)基於神經網路控制器的神經網路預測控制。這種方法基於兩個神經網路,一個是建模網路,用於過程的動態建模以獲取對過程的預測信號;另一個是控制網路,它按照與預測控制目標函式相應的驅動信號來調整整個網路的權值,以獲取對預測控制律函式的逼近。
神經網路預測控制結構
結構
圖3 神經網路預測控制系統結構
神經網路預測控制
神經網路預測控制神經網路預測控制系統結構如圖3所示。圖中:s 為設定值;,。
神經網路預測控制
神經網路預測控制
神經網路預測控制
神經網路預測控制
神經網路預測控制
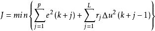
神經網路預測控制取二次性能指標函式:,式中:為控制權係數;,可以由,求得;。
算法步驟
由上可知,神經網路預測控制算法步驟可歸納為 ( j = 1,2,...,P):
神經網路預測控制(1)計算期望輸入參考軌跡;
神經網路預測控制(2)由神經網路預測模型輸出 y*(k),經濾波器生成預測輸出;
神經網路預測控制(3)計算預測誤差:;
(4)求二次型性能函式 min J (P,L,r);獲得最優控制律 ∆ u (k +j−1),採用 u (k)作為第一個控制信號,作為被控對象的輸入,然後轉至第(2)步。

