測量原理
磁光克爾效應概念
將線偏振光(由左旋圓偏振光和右旋圓偏振光所組成)入射於磁性材料反射後,由於左旋圓偏振光與右旋圓偏振光在樣品中傳播速率不同而產生相位差,再加上左旋圓偏振光與右旋圓偏振光的吸收程度不同而造成振幅不相同,經過樣品反射後,轉為橢圓偏振光的現象,稱為磁光克爾效應。
當線偏振光入射到不透明樣品表面時,如果樣品是各向異性的,反射光將變成橢圓偏振光且偏振方向會發生偏轉.而如果此時樣品為鐵磁狀態,還會導致反射光偏振面相對於入射光的偏振面額外再轉過一小角度,這個小角度稱為克爾旋轉角,即橢圓長軸和參考軸(原線偏振光)間的夾角。
磁光克爾效應示意圖磁光克爾效應分類
磁光克爾效應可分為三類:極化克爾效應、縱向克爾效應、橫向克爾效應。.
極化克爾效應:磁化方向垂直於樣品表面並且平行於入射面。通常情況下極向克爾效應的強度隨入射角的減小而增大,在垂直入射時達到最大。
縱向克爾效應:磁化方向在樣品膜內且平行於入射面。克爾信號的強度隨入射角的減小而減小,垂直入射時為0。縱向克爾信號中克爾旋轉角和克爾橢偏率都比極向克爾信號小一個數量級。從而縱向克爾信號的探測比極向難。但對於薄膜樣品來說,易磁軸一般平行於樣品表面,縱向配置下樣品的磁化強度才容易達到飽和,因此縱向克爾效應對平面內的磁化相當敏感。
橫向克爾效應:磁化方向在樣品薄膜面內,且垂直於入射面。其反射光的偏振狀態沒有變化,因為這種配置下光電場與磁化強度矢積的方向永遠沒有與光傳播方向相垂直的分量。只有p偏振光(偏振方向平行於入射面)入射時才有一個很小的反射率的變化(一般來講只造成長度的跳變,不會造成極化平面的旋轉)。
從左至右分別為極化克爾效應、縱向克爾效應和橫向克爾效應測量過程及測量參數
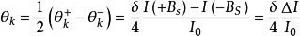
雷射器發射的雷射束通過起偏稜鏡後變為線偏振光,然後從樣品表面反射,經過檢偏稜鏡進入探測器。檢偏稜鏡的偏振方向要與起偏稜鏡設定成偏離消光位置很小的角度δ。這主要是為了區分正負克爾旋轉角。若檢偏稜鏡方向設定在消光位置,無論反射光偏振面是順時針還是逆時針旋轉,反映在光強的變化上都是強度增大,這樣就無法區分偏振面的正負旋轉方向,也就無法判斷樣品的磁化方向。當2個偏振方向之間有小角度δ時,通過檢偏稜鏡的光線有本底光強。反射光偏振面旋轉方向和δ同向時光強增大,反向時光強減小,這樣樣品的磁化方向可以通過光強的變化來區分。
偏振器件配置方位樣品放置在磁場中,當外加磁場改變樣品磁化強度時,反射光的偏振狀態發生改變。通過檢偏稜鏡的光強也發生變化。在一階近似下光強的變化和被測材料磁感應強度呈線性關係,探測器探測到光強的變化就可以推測出樣品的磁化狀態和磁性參量。
磁光克爾測量系統
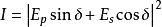
磁光克爾測量系統假設入射光為p偏振光,其電場矢量平行於入射面,當光線從磁化了的樣品表面反射時,由於克爾效應反射光中含有很小的垂直於 的電場分量 ,如上圖所示,通常,在一階近似下有:
磁光克爾測量系統(1)
通過檢偏稜鏡的光強為:
磁光克爾測量系統(2)
將(1)式代入(2)式得到:
磁光克爾測量系統(3)
磁光克爾測量系統
磁光克爾測量系統
磁光克爾測量系統通常較小,可取 , ,得到:
磁光克爾測量系統(4)
磁光克爾測量系統
磁光克爾測量系統
磁光克爾測量系統
磁光克爾測量系統一般情況下, 雖然很小,但 ,而 和 在同一數量級上,略去二階項後,考慮到探測器測到的是(4)的實數部分,(4)式變為:
磁光克爾測量系統(5)
無外加磁場下,
磁光克爾測量系統(6)
所以有:
磁光克爾測量系統(7)
由(7)式得在樣品達磁飽和狀態下為:
磁光克爾測量系統(8)
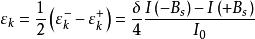
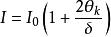
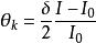
實際測量時最好測量磁滯回線中正向飽和時的克爾旋轉角和反向飽和時的克爾旋轉角,則:
磁光克爾測量系統(9)
磁光克爾測量系統
磁光克爾測量系統
磁光克爾測量系統
磁光克爾測量系統
磁光克爾測量系統式中 和 分別是正負磁飽和狀態下的光強。從式(9)中可以看出,光強的變化 只與 有關,而與 無關。說明在光路中探測到的克爾信號只是克爾旋轉角。
磁光克爾測量系統
磁光克爾測量系統
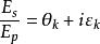
磁光克爾測量系統當要測量克爾橢偏率時,在檢偏器前另加1/4波片,它可以產生 的相位差,此時檢偏器看到的是 ,而不是 ,因此測量到的信號為克爾橢偏率。
經過推導可得在磁飽和狀態下:
磁光克爾測量系統(10)
磁光克爾測量系統
磁光克爾測量系統式中 表示正向飽和磁場時測得的橢偏率, 表示負向飽和磁場時測得的橢偏率。
主要組成部分
磁光克爾測量系統主要由以下幾個部分組成:
1光學減震平台
2.光路系統:輸入光路和接收迴路
3.勵磁電源主機和可程控電磁鐵
4.前置放大器和直流電源組合裝置:用於將光電檢測裝置接收的克爾信號做前置放大,並送入信號檢測主機中;將霍爾感測器探測到的磁場強度信號做前置放大並送入檢測裝置;為雷射器提供精密穩壓電源
5.信號檢測主機
6.控制系統與計算機
磁光克爾測量系統簡圖測量結果
通過磁光克爾測量系統可測得磁性薄膜的磁滯回線,從而分析其磁特性。
磁光克爾測量系統
磁光克爾測量系統
磁光克爾測量系統鐵磁材料在外磁場中磁化時,最顯著的特徵是當磁場強度往復性變化時,磁感應強度 或磁化強度 隨磁場強度 變化的曲線是閉合曲線,稱之為磁滯回線。
磁滯回線
磁光克爾測量系統
磁光克爾測量系統
磁光克爾測量系統
磁光克爾測量系統
磁光克爾測量系統
磁光克爾測量系統
磁光克爾測量系統
磁光克爾測量系統
磁光克爾測量系統
磁光克爾測量系統
磁光克爾測量系統
磁光克爾測量系統
磁光克爾測量系統
磁光克爾測量系統
磁光克爾測量系統
磁光克爾測量系統
磁光克爾測量系統
磁光克爾測量系統
磁光克爾測量系統
磁光克爾測量系統
磁光克爾測量系統
磁光克爾測量系統
磁光克爾測量系統
磁光克爾測量系統
磁光克爾測量系統
磁光克爾測量系統
磁光克爾測量系統
磁光克爾測量系統
磁光克爾測量系統
磁光克爾測量系統
磁光克爾測量系統上圖(a)中所示的閉合曲線為直流磁場作用下鐵磁材料的飽和磁滯回線(直流或靜態磁滯回線),其中的曲線Oa稱為鐵磁材料的起始(直流或靜態)磁化曲線。起始磁化曲線表明,鐵磁材料從磁中性狀態( 和 均為零)被磁化時,其 — 曲線呈非線性的變化,且當 達到一定值( )後, 幾乎不隨 的增大而變化,即達到了飽和磁化的狀態,如圖中的a點所示,相應的磁場強度 和磁感應強度 稱為飽和磁場強度和飽和磁感應強度。由磁化曲線可確定鐵磁材料的磁導率,即μ= / 。鐵磁材料的磁導率並非常量,而隨 變化而變化,如圖(b)中虛線所示。磁滯回線表明,當鐵磁材料被磁化到飽和狀態後,再逐漸減小 時, 也減小,但這一去磁過程並不沿著原來的磁化曲線進行,而是沿著另一條曲線ab緩慢減小,比較曲線Oa和ab可知,去磁時磁滯回線上 的變化總是滯後於 的變化,說明鐵磁材料存在磁滯,磁滯最明顯的特徵是當 減小到0時, 並不為0。 為0時所對應的 值稱為剩餘磁感應強度,反映了鐵磁材料剩磁的大小。當磁場反向從零增加至 時, 降到0,說明要消除剩磁,必須施加反方向磁場, 稱為矯頑磁場強度或矯頑力,它反映了鐵磁材料保持剩磁狀態的能力,曲線bc’稱為退磁曲線。再繼續增加反向磁場到- ,鐵磁材料達到反向飽和磁化的狀態。此後,當反向磁場強度減小到零後,再增大正向磁場至 時,同樣會出現剩磁、退磁及飽和磁化的現象。可見,鐵磁材料的 和 關係不僅是非線性的,而且還是非單值的,即對確定 , 值不能唯一確定,它不僅與當時的 有關,還與以前的磁化狀態(歷史)有關。

