簡介
砂岩比面系指單位體積砂岩內顆粒的總表面積, 或單位體積岩石內總孔隙的內表面積,單位為cm / cm 。由於砂岩的顆粒很小, 故其比面是比較大的, 有時可高達2000cm / cm 。
砂岩可以根據比面大小分為粗砂岩(1~0.5)、細砂岩(0.25~0.125)、粉砂岩(0.0625~0.0039),由此可以看出砂岩的比面是很大的,而且它的大小,對流體在岩石孔隙中的流動具有明顯的影響,如表面現象、吸附、流動阻力等。這也是油田為何採收率總不是很高的原因所在。
計算公式
比面通常可分為以岩石外表體積、骨架體積和孔隙體積為基數的比面。根據毛管模型,以岩石骨架體積為基數的比面的計算公式為:
式中,
S---以岩石骨架體積為基礎的比面,cm / cm ;
φ--孔隙度,小數;
A---截面積,cm ;
L---長度,cm;
H---岩心兩端的壓差,cm水柱;
Q---通過岩心的空氣流量,cm /s;
μ---空氣的粘度,10 mPa.s 。
當孔隙度已知,A和L可以用遊標卡尺直接量出,由查表得到μ後,只要通過壓力計測得空氣通過岩樣的壓差H和相應的流量Q便可算出岩樣的比面。
測定方法
實驗測定
砂岩比面1、實驗步驟
(1)打開水罐進液閥、放空閥,向水罐中灌水,大約灌2/3體積時停止,關閉水罐進液閥及放空閥;
(2)用遊標卡尺量出岩樣的長度和直徑,計算岩樣的截面積;
(3)將岩樣放入岩心夾持器,關閉環壓放空閥,打開環壓閥加環壓,確保岩樣與夾持器之間無氣體竄流;
(4)準備好秒表、打開流量控制閥,並控制流出的水量,待壓力計的壓力穩定在某一H值後,測量一定時間內流出的水量,用同樣的方法至少測定三個水流量和與之相應的H值。(如果岩石滲透率較低,關閉水柱閥,用汞柱壓差計讀取岩心上游壓力,並將汞柱高度轉換成水柱高度。);
(5)關流量控制閥,關閉環壓閥,緩慢打開環壓放空閥,結束實驗。
2、數據處理與計算
計算單位時間流出的水量Q,將Q和與之相應的H值及已知量φ、A、L和μ代入公式算出岩樣的比面。其中μ值由實驗室給出的空氣粘溫曲線查出。
估算法
比面的大小通常由室內測定方法來確定, 亦可以通過岩石的其他物性來估算。下面介紹利用粒度組成資料估算砂岩比面的方法。
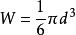
設岩石為等直徑d 的球形顆粒組成, 每顆顆粒的表面積為:
砂岩比面體積應為:
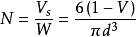
砂岩比面又假設單位體積岩石中孔隙總體積為V, 則該岩石中顆粒所占的體積V 為:
砂岩比面從而單位體積岩石中的顆粒總數N 則為:
砂岩比面顯然, 單位體積岩石中全部顆粒總表面積, 即比面S 為:
真實岩石顆粒的直徑彼此不等, 可採用加權平均法求得比面, 即:
砂岩比面式中
d———第i 組分的顆粒平均直徑;
G———第i 組分的顆粒質量分數, 由粒度組成分析給出。
由於砂岩顆粒不完全為球形, 為了使計算值更接近實際情況, 引入校正係數c, 即:
砂岩比面
