簡介
量子力學與經典力學的一個主要區別,在於怎樣理論論述測量過程。在經典力學裡,一個物理系統的位置和動量,可以同時被無限精確地確定和預測。在理論上,測量過程對物理系統本身,並不會造成任何影響,並可以無限精確地進行。在量子力學中則不然,測量過程本身會對系統造成影響。
怎樣才能正確地理論描述對於一個可觀察量的測量?設定一個量子系統的量子態,首先,將量子態分解為該可觀察量的一組本徵態的線性組合。測量過程可以視為對於本徵態的一個投影,測量結果是被投影的本徵態的本徵值。假設,按照某種程式製備出一個系綜,在這系綜里,每一個量子態都與這量子態相同,現在對於這系綜里的每一個量子態都進行一次測量,則可以獲得所有可能的測量值(本徵值)的機率分布,每個測量值的機率等於量子態處於對應的本徵態的機率幅的絕對值平方。
因此,假設對於兩個不同的可觀察量A和B做測量,改變測量順序,例如從AB改變為BA,則可能直接影響測量結果。假若測量結果有所不同,則稱這兩個可觀察量為不相容可觀察量;否則,稱這兩個可觀察量為相容可觀察量。以數學術語表達,兩個不相容可觀察量A和B的對易算符不等於零:
相容可觀察量可觀察量
在物理學裡,特別是在量子力學裡,處於某種狀態的物理系統,它所具有的一些性質,可以經過一序列的物理運作過程而得知。這些可以得知的性質,稱為 可觀察量(observable)。例如,物理運作可能涉及到施加電磁場於物理系統,然後使用實驗儀器測量某物理量的數值。在經典力學的系統里,任何可以用實驗測量獲得的可觀察量,都可以用定義於物理系統狀態的實函式來表示。在量子力學裡,物理系統的狀態稱為量子態,其與可觀察量的關係更加微妙,必須使用線性代數來解釋。根據量子力學的數學表述,量子態可以用存在於希爾伯特空間的態矢量來代表,量子態的可觀察量可以用厄米算符來代表。
不相容可觀察量
假若兩種可觀察量的對易算符不等於0,則稱這兩種可觀察量為“不相容可觀察量”:
相容可觀察量
相容可觀察量其中, 分別是可觀察量A、B的算符。
相容可觀察量
相容可觀察量
相容可觀察量
相容可觀察量
相容可觀察量
相容可觀察量
相容可觀察量
相容可觀察量這兩種算符 絕對不會有共同的基底。一般而言, 的本徵態與 的本徵態不同假設量子系統的量子態為 。對於算符 ,所有本徵值為 的本徵態 ,形成一個基底。量子態 可以表示為這組基底本徵態的線性組合:
相容可觀察量
相容可觀察量
相容可觀察量
相容可觀察量其中, 是復係數,是在量子態 里找到量子態 的機率幅。
相容可觀察量
相容可觀察量
相容可觀察量
相容可觀察量對於算符 },所有本徵值為 的本徵態 ,形成了另外一個基底。量子態 可以表示為這組基底本徵態的線性組合:
相容可觀察量
相容可觀察量
相容可觀察量
相容可觀察量其中, 是復係數,是在量子態 里找到量子態 的機率幅。
相容可觀察量
相容可觀察量
相容可觀察量
相容可觀察量對於量子系統的可觀察量A做測量,可能得到的結果是各種本徵態 的本徵值 ,獲得這些不同結果的機會具有機率性,可以表達為機率分布,結果為 的機率是 。
相容可觀察量
相容可觀察量
相容可觀察量
相容可觀察量
相容可觀察量
相容可觀察量
相容可觀察量假設測量的結果是本徵值 ,則可以推斷,在測量之後短暫片刻內,量子態是本徵態 。假若立刻再測量可觀察量A,由於量子態仍舊是本徵態 ,所得到的測量值是本徵值機率為1。假若立刻再對本徵態 測量可觀察量B,則會得到統計性的答案。假設測量的結果是本徵值,則可以推斷,在測量之後短暫片刻內,量子態是本徵態 。
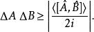
根據不確定性原理,
相容可觀察量
相容可觀察量
相容可觀察量
相容可觀察量
相容可觀察量設定。假設,A與B是兩個不相容可觀察量,則。而A的不確定性與B的不確定性的乘積,必定大於或等於。
參閱
•位置算符
•動量算符
•角動量算符
•哈密頓算符
