簡介
音圈電機是直接驅動型電機的一種,具有高回響、高速度、高加速度、結構簡單、體積小、控制方便等優點。隨著音圈電機技術的逐漸推廣,音圈電機被廣泛套用在精密定位系統和許多不同形式的自動化裝配系統中,一種雙自由度音圈電機具有重要意義。
直接驅動型伺服電機具有回響快、運動速度高、精度高的特點,套用在自動化設備中可以大幅提升生產效率。目前我國已成為全球最大代工廠,廉價勞動力的優勢正在逐漸減弱,人力流水線的模式不可持續,在一些產量大、動作簡單、重複性強的生產工序,如小家電裝配,智慧型手機組裝等,正有越來越多的高速自動化設備介入。
音圈電機直線旋轉磁路
音圈電機的結構設計主要包括磁場結構和運動結構的設計。 作為同時具有直線和旋轉兩個運動的音圈電機,還將涉及到兩個運動的耦合
音圈電機工作原理
音圈電機工作原理音圈電機產生運動的原理與揚聲器相同,如圖所示,通電導線在磁場中受到的安培力是動 子動力的來源。受力方向由左手定則判定,安培力的大小為:f =BLi
式中:
f——導線所受安培力(N) ;
B——磁感應強度(T) ;
L ——線圈長度(m);
i ——線圈電流(A)。
音圈電機磁路類型在均勻氣隙磁場中放入線圈繞組,繞線方向垂直於勻強磁場方向。繞組 中有電流通過時產生安培力帶動負載作往復運動,通過改變電流的強弱和方向,就可改變安培力的大小和方向。 根據磁場結構不同音圈電機運動形式可以是直線或者圓弧。
磁路形式選擇
直線運動磁路結構音圈電機常用在多自由度運動平台的最後一級。 因此除了音圈電機本身要求具有高速回響的能力外,電機本身的質量和體積應儘量小,以提高整個運動平台的高速運動能力。通常,用以生成定子磁場的材料密度較大,定子結構在電機質量中占比較大,磁路結構應選擇用儘量少的永磁體和導磁材 料生成磁通密度高的勻強磁場的結構。
根據永磁體的位置、氣隙及線圈結構的不同,音圈電機的磁路結構可分為如圖所示幾種不同類型。
根據音圈電機外形不同,又可分為圓柱形、矩形和扇形等。其中矩形結構具有使用導磁材料少,結構緊湊,易於加工的特點,從而成為直線型音圈電機的理想選擇。
直線運動磁路結構
旋轉運動磁路結構直線運動磁路部分原理如圖所示,在矩形磁軛內,布置兩塊方向相反地 永磁體,氣隙中可生成方向相反的近似勻強磁場。當線圈中的電流從上側磁場穿入,繞過中間部分磁軛從下側磁場穿出,由左手定則可知,線圈的上半部分和下半部分都受到方向向右的安培力,合力方向向右。當線圈中電流方向發生變化時,受力方向隨之改變。
旋轉運動磁路結構
旋轉音圈電機的磁路結構由直線運動的磁路結構進行弧形演化而來, 其原理如圖所示,將直線磁路下側的永磁體方向翻轉,則線圈受到繞磁軛中心點的力矩作用,然後將原來的平面狀的永磁體和磁軛替換為弧形,線圈即可繞磁軛中心點做旋轉運動。
運動的合成
由於該音圈電機主要套用於需求高速運動的場合,如半導體行業、細小零件裝配等,通常情況下,負載重量可以忽略不計。為了在相同的驅動力條件下儘量提高運動速度,整個電機的運動部分質量應儘量少。 構成直線音圈電機電磁部分的零部件總質量為146.33g,旋轉軸部分為45.34g。若採用串列結構,不論是直線運動或是旋轉運動作為第一級,都將導致另一運動方向結構的質量累加在第一級的動子質量中,因此,串聯結構將極大降低雙自由度音圈電機的加速性能。
直線軸動子加速度為:
直線旋轉雙自由度音圈電機
直線旋轉雙自由度音圈電機運動部分結構式中:
M——直線動子總質量(Kg) ;
m ——直線線圈有效部分質量(Kg) ;
A ——直線線圈繞組單匝橫截面積(m) ;
ρ ——線圈漆包線密度(Kg/m)。
旋轉軸動子角加速度為:
直線旋轉雙自由度音圈電機式中:
T——旋轉動子總慣量(Kg) ;
I——旋轉線圈有效部分慣量(Kg) ;
直線旋轉雙自由度音圈電機內部結構A ——旋轉線圈繞組單匝橫截面積(m)。
由兩式可以看出,為了提高電機的動態回響特性,應提高線圈有效質量占動子總質量的比。生成直線、旋轉兩個運動的永磁體和磁軛都應設定為定子,兩個運動在動子輸出軸上合成。
滾珠花鍵是由花鍵軸、滾珠、花鍵套和相關循環零件組成的,是能在直線運動過程中傳遞扭矩的動態扭矩傳遞部件,另外滾珠花鍵還有結構緊湊、動態傳動效率高和使用壽命長等特點。 利用滾珠花鍵可以將直線和旋轉兩個運動在末端輸出軸上合成。滾珠花鍵的安裝位置如圖2-12所示。
在完成了對音圈電機的運動結構設計後,將直線定子、旋轉定子、直線導軌固定在基座上,如圖2-13所示,做旋轉運動的部分通過軸承座安裝在基座上。輸出軸經過線性滾珠襯套以減小末端偏擺。直線光柵尺作為直線位移的反饋測量元件,貼放在直線動子上,圓形光柵尺作為旋轉角度的反饋測量元件,貼放在轉子上。按照光柵編碼器與光柵尺的相對位置要求,將光柵編碼器固定在基座上。
直線旋轉雙自由度音圈電機的數學模型
直線音圈電機電壓平衡方程
當直線音圈電機動子處於運動狀態時, 線圈在定子磁場中做切割磁力線的運動,根據楞次定律,將產生感應電動勢,其大小為:
直線旋轉雙自由度音圈電機式中:
e——直線線圈在定子磁場中運動時線圈所產生的反電勢(V) ;
v ——直線動子的運動速度(m/s)。
直線電樞迴路的電壓平衡方程為:
直線旋轉雙自由度音圈電機式中:
u——直線電樞兩端電壓(V) ;
i——直線電樞迴路電流(A)。
力平衡方程
直線音圈電機在運動過程中,驅動力為線圈中通過的電流il 產生的安培力。運動過程中的阻力包括,各運動副之間粘性摩擦力,負載力及所有運動部件受加速度作用產生的慣性力。即有:
直線旋轉雙自由度音圈電機式中:
F——直線線圈所受安培力(N) ;
F ——運動副之間粘性摩擦力的總和(N) ;
F——負載力(N) ;
F——慣性力(N) ;
k——阻尼係數。
表示為速度對時間的微分方程,得到:
直線旋轉雙自由度音圈電機直線音圈電機方程
音圈電機方程為:
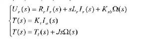
直線旋轉雙自由度音圈電機旋轉音圈電機電壓平衡方程
旋轉音圈電機運動時產生的感應電動勢大小為:
直線旋轉雙自由度音圈電機式中:
e——旋轉線圈在定子磁場中運動時線圈所產生的反電勢(V) ;
ω——旋轉動子的角速度(rad/s)。
在旋轉音圈電機的動態過程中, 電樞線圈所施加的電源電壓和電樞線圈內通過的電流的關係式:
直線旋轉雙自由度音圈電機式中:
u——旋轉電樞兩端電壓(V);
i——旋轉電樞迴路電流(A)。
旋轉音圈電機方程
旋轉音圈電機方程為:
直線旋轉雙自由度音圈電機
