概念
直接抽樣法是一種常用的方法,對連續型和離散型的隨機變數均有效。對於連續型隨機變數,套用該法必須求得該分布函式的反函式。另外,對於離散型分布,直接抽樣方法的優點是簡單明了,易於實現,缺點是當離散點數多時,抽樣速度慢。對於連續型分布,當容易計算,而且運算量又不大時,直接抽樣方法是最理想的方法。不過,在實際問題中具有這樣性質的情況很少。
原理
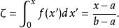
直接抽樣法設y=F(x)為隨機變數x的累積分布函式,即x和y是一一對應的,先隨機抽取y,然後通過求F(x)的反函式 得到隨機變數x的值
直接抽樣法隨機變數y在[0,1]區間上均勻分布,利用[0,1]區間上均勻分布隨機數產生器抽取,即可得到樣本。
方法
U[0,1]:[0,1]區間上均勻分布的隨機數的抽樣步驟:
1.從U[0,1]抽取隨機數ζ;
2.令F(x)=ζ;
3.解方程得x
直接抽樣法註:需要知道累積分布函式的解析表達式,且累積分布函式的反函式存在。
不同函式抽樣
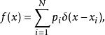
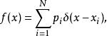
分離型隨機變數的抽樣
直接抽樣法適應於分離型的隨機變數
直接抽樣法
直接抽樣法方法
1.計算
直接抽樣法2.從U[0,1]抽取隨機數ζ;
直接抽樣法3.求滿足 的K值;
4.隨機變數的第k個取值即為欲抽取的值。
粒子衰減末態的隨機抽樣
設粒子a有三種衰變方式,其分支比如表1所示:
| a→ | b+c | p=0.5 |
| b+c | p=0.3 | |
| b+c | p=0.2 |
方法
隨機選取每次衰變的衰變方式(衰變道),ζ∈U[0,1],如表2所示:
| 0〈ζ〈0.5 | b+c |
| 0.5〈ζ〈0.5+0.3 | b+c |
| 0.5+0.3〈ζ〈1 | b+c |
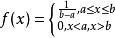
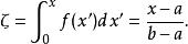
區間上均勻分布的隨機數
直接抽樣法方法:
產生ζ∈U[0,1];
直接抽樣法
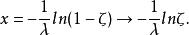
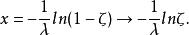
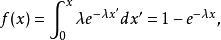
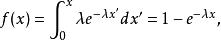
直接抽樣法指數分布
直接抽樣法方法:
產生ζ∈U[0,1];
直接抽樣法
直接抽樣法