概述
由於航道狹窄,水與船體相對速度加大以及船體周圍流場及興波情況的等影響,使船舶航行狀態和受力狀況發生變化引起的效應 。
實際上有的船舶常在淺海、內河等有邊界限制的航道中航行,此種航道稱為限制航道,其所受阻力與在深水中航行時的阻力並不一樣。
限制航道可分為:僅水深受到限制的淺水情況和深度及寬度都受限制的狹窄水道兩種情況。
應該指出的是:限制航道的概念不是絕對的,實際上任何航道都有邊界,這裡主要視其對船舶阻力是否產生影響而定。航道對阻力的影響主要取決於航道的深度、寬度和船的尺度及航速之間的相對情況。在航速很低時,航道對阻力不產生影響,因而可作深水航道情況處理。而在船速較高時,航道對船的阻力的影響可能相當顯著,因而必須考慮限制航道問題。
在當前對船速要求不斷提高的情況下,原來可視作深水的航道也會有找水的影響,所以淺水問題將日益重要。
船舶在狹水道和淺水中航行時的主要差別
表征參數
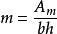
描述狹航道受限制的程度常採用下列參數:水深吃水比h/T,相對寬度b/B(或b/L)和斷面係數F/A,這裡b為狹水道的寬度,h 為狹水道的深度;B、L、T分別為船寬、船長和吃水;F 為狹水道剖面面積,A 為船中橫剖面面積。
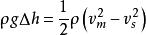
回流和興波情況
船在狹水道中航行時,不僅回流速度較淺水時有明顯變化,且由於側璧的存在導致散波反射,因而與船體波系相互疊加,使興波阻力發生變化。
阻力曲線的特點
狹航道效應船在狹水道中阻力曲線的特點是在 附近存在一個臨界區,在這個區域內阻力值有極為明顯的增加;而臨界區的範圍與狹水道的寬度、船型有關。在相同情況下,若狹水道的寬度增加,臨界區域變窄;當趨於無限寬時,則僅在臨界速度時最高,也就是一般淺水問題,所以淺水可以看作是狹水道的特例。由於船在狹水道中高速航行,特別是在臨界區航行時,不但阻力很大,而且由於波浪的沖刷可能損毀堤岸,破壞河床,所以在狹水道中航行的船大多為低速船,極少有接近或超過臨界速度的。
船舶在狹水道中運動時的特點
解釋船舶在狹水道中運動時的一般特點和近似確定臨界速度值的最簡單的方法是把問題簡化為一維的問題並套用運動轉換原理,如圖所示。為了方便起見,我們研究在橫截面不變的矩形水道中繞靜止船舶的流動問題,並假定船體橫剖面沿船長變化不大,船體無縱傾以及沿船長方向的水面下降相等。此外認為船的傅汝德數Fr較小,可忽略興波對水面變形的影響,基於這樣的處理方法,則由連續方程得:
狹水道剖面圖
狹航道效應
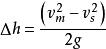
狹航道效應式中v為水流船體間的相對速度, 為水面下降值,根據伯努利方程得:
狹航道效應通過上式可得到船舶所在區域內的水面下降值
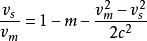
狹航道效應有上面三式得
狹航道效應
狹航道效應
狹航道效應式中: ; 稱為阻塞係數。
狹水道中不同的速度區域
狹航道效應
狹航道效應
狹航道效應
狹航道效應
狹航道效應對終式分析表明,當參數m為常數時,如 給定的話,上式為關於 的三次方程式。右圖為m--0.1時此方程的解,從方程式的數字解來說,對應一個 值,速度 可能有兩個值,但是從物理意義和試驗結果分析表明,虛線部分僅是數字解,而只有實線所對應的值才是實際存在的解。在狹水道中不同速度區域圖中 的速度區域內(A、B兩點之間)存在臨界區域。A、B兩點對應的速度U、以分別稱為第一臨界速度和第二臨界速度。所以船在狹水道中航行時,就速度的不同可劃分為如下三個不同區域:
狹航道效應
狹航道效應
狹航道效應
狹航道效應
狹航道效應
狹航道效應
狹航道效應(1)亞臨界速度區域:即在 範圍內。在這個區域內,由狹水道中不同速度區域圖知, 說明水與船體的相對速度 大於船速 ,因而有 ,這裡 就是回流速度。在狹水道的回流速度較線水情況為大,所以摩擦阻力有較大的增加;同時回流速度的增大使狹水道中沿船體縱向壓降增大,由於壓降的增大,不但可能引起邊界層分離,且使興波的波幅較淺水情況要大。試驗表明,在較低速時,所增加的阻力主要是粘性阻力。但當 時,則主要是興被阻力增加所造成,特別是當船速接近第一臨界速度時,獨波以船舶相同的速度一起前進,船體興波阻力急劇增加。
狹航道效應此外,由於回流速度比淺水時大,故相應帶來的壓力降低程度比淺水時大,從而使船體下沉和尾傾比淺水時大,以致可能會出現船底與河底相擅的危險。特別是在航速較高時,不但這種危險性增大,而且船體阻力增加很大。興波對航道的破壞作用相當明顯,為此一般在狹水道中航行的船舶,其航速都受到一定限制,要求 。
狹航道效應
狹航道效應
狹航道效應(2)臨界速度區城:即在 範圍內。在這個速度區域內船體周圍的流動既複雜又不穩定。當航速超過第一臨界速度 值之後,船體阻力的增大情況變得較為緩慢,直至達到第二臨界速度 值,此時阻力達到最大值。總的來看,在整個臨界速度區域內,由於流態不穩定,船的浮態亦很不穩定。
狹航道效應
狹航道效應
狹航道效應(3)超臨界速度區域:即在 範圍內。在這個速度區城內,情況與亞臨界區域相反,由於 ,即 ,說明出現了負的回流速度,船體與水的相對速度小於船速。此時不但摩擦阻力較深水情況為小,且橫波已跟不上船速,在船體附近僅剩下擴散逐漸縮小的散波,因而在該區城內的阻力反而驟然下降。在超臨界速度範圍內由於水與船體相對速度減小,所以水面升高,船體正浮,縱傾角也較臨界速度區減小。

