基本介紹
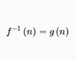
設f(n)為數論函式,若存在數論函式g(n),使得f*g=I,則稱g(n)為f(n)的狄利克雷逆,或簡稱逆,記為f(n)=g(n)。例如,μ*U=I,故U(n)的逆μ(n)=U(n)≡1。反之,U(n)≡1的逆U(n)=μ(n),從定義及交換律可知,若g為f的逆,則f亦為g的逆,即若g=f,則f=g。
狄利克雷逆的性質
狄利克雷逆有下述性質:
1.若數論函式f(n)滿足f(1)≠0,則存在惟一的逆f(n),且滿足
f(1)=1/f(1),
狄利克雷逆故知積性函式f必有逆f,且f仍為積性函式。
2.若數論函式f(n),g(n)滿足f(1)≠0,g(1)≠0,則(f*g)=f*g。
3.若f(n)為積性函式,則f(n)為完全積性函式的充分必要條件是f(n)=μ(n)f(n)。特別地,當g(n)為完全積性函式,且h=f*g時,有f=h*μg。
重要的狄利克雷逆
重要的狄利克雷逆有:
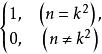
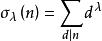
狄利克雷逆設 ,則
狄利克雷逆特別地,當λ=0或1時,得到
狄利克雷逆及
狄利克雷逆
狄利克雷逆2.設φ(n)為歐拉函式,則 .
3.默比烏斯函式μ(n)的逆μ(n)=U(n)≡1。
4.劉維爾函式λ(n)的逆λ(n)=μ(n)λ(n)。
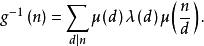
狄利克雷逆5.設g(n)=λ*U= ,則
狄利克雷逆
