釋義
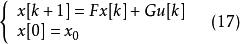
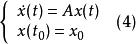
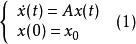
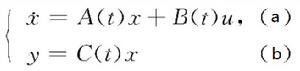
狀態方程式刻畫系統輸入和狀態關係的表達式。狀態向量所滿足的向量常微分方程稱為控制系統的狀態方程。如連續線性時變控制系統:
狀態方程[控制科學]式中的(a)式稱為狀態方程。如果狀態向量的初始條件x(t)=x和t≥t時的輸入都已知,則可從(a)式完全決定t≥t時刻的所有狀態x(t),因而控制系統的動態行為就完全確定了。刻畫控制系統的輸出與狀態之聯繫的代數關係稱為輸出(或量測)方程。(b)式便是輸出方程。輸出方程提供了人們通過量測數據了解系統狀態變化的信息。狀態方程和輸出方程是控制系統數學模型的重要組成部分。
連續時間系統狀態方程的一般形式
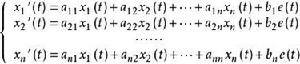
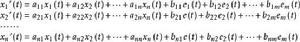
連續時間系統的狀態方程為狀態變數的一階微分方程組。設n階系統的狀態變數為x(t)、x(t)、…、x(t),激勵為e(t),則狀態方程的一般形式如下:
狀態方程[控制科學](2.1)
式中各係數均由系統的元件參數確定,對於線性非時變系統,它們都是常數;對於線性時變系統,它們中有的可以是時間函式。式(2.1)是單輸入的情況,如果有m個輸入e(t)、e(t)、…、e(t),則可得狀態方程的一般形式為
狀態方程[控制科學]可以寫成如下矩陣形式:
狀態方程[控制科學](2.2)
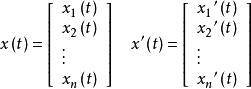
定義狀態矢量x(t)和狀態矢量的一階導數x'(t)分別為
狀態方程[控制科學](2.3)
再定義輸入矢量e(t)為
狀態方程[控制科學]另外,把由係數a組成的n行n列的矩陣記為A,把由係數b組成的n行m列的矩陣記為B,則
狀態方程[控制科學]把式(2.3)、式(2.4)和式(2.5)代入式(2.2),可將狀態方程簡寫為
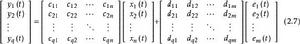
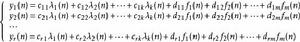
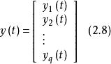
狀態方程[控制科學]如果系統有q個輸出y(t),y(t),…,y(t),則輸出方程的矩陣形式為
狀態方程[控制科學]仿照前面,定義輸出矢量y(t)為
狀態方程[控制科學]並把由係數c組成的q行n列矩陣記為C,把由係數d組成的q行m列矩陣記為D,即
狀態方程[控制科學]於是,輸出方程簡寫成
狀態方程[控制科學]對於線性時不變系統,上面所有係數矩陣為常數矩陣。式(2.6)、式(2.10)分別是狀態方程和輸出方程的矩陣形式。套用狀態方程和輸出方程的概念,可以研究許多複雜的工程問題。
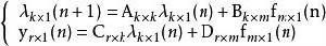
離散時間系統狀態方程的一般形式
離散時間系統狀態方程為:
狀態方程[控制科學]輸出方程為:
狀態方程[控制科學]如果系統是線性時不變系統,則狀態方程和輸出方程是狀態變數和輸入信號的線形組合。
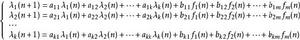
狀態方程為:
狀態方程[控制科學]輸出方程為:
狀態方程[控制科學]狀態方程和輸出方程可以看出,這是由輸入量、輸出量。狀態變數以及聯繫它們之間關係的A、B、C、D矩陣組成,即狀態方程和輸出方程可以簡寫為:
狀態方程[控制科學]線性定常系統的狀態方程求解
(1 )齊次狀態方程的解:
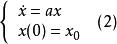
狀態方程[控制科學]考慮n階線性定常齊次方程 的解。
首先分析標量微分方程的解。設標量微分方程為
狀態方程[控制科學]
狀態方程[控制科學]對式(2)取拉氏變換得 ;
狀態方程[控制科學]取拉氏反變換,得 。
標量微分方程可以認為是矩陣微分方程當n=1時的特徵,因此矩陣微分方程的解與標量微分方程應具有形式的不變性,由此得如下定理:
【定理1】 n階線性定常齊次狀態方程(1)的解為:
狀態方程[控制科學]
狀態方程[控制科學]式中: 。
狀態方程[控制科學]
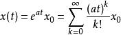
狀態方程[控制科學]【推論1】 n階線性定常齊次狀態方程 的解為 。
齊次狀態方程解的物理意義是e將系統從初始時刻t的初始狀態x轉移到時刻 的狀態x(t)。故e又稱為定常系統的狀態轉移矩陣。
(狀態轉移矩陣有四種求法:即定義(矩陣指數定義)法、拉氏反變換法、特徵向量法和凱來-哈密頓(Cayly-Hamilton)法)
從上面得到兩個等式
狀態方程[控制科學]其中,第一式為矩陣指數定義式,第二式可為e的頻域求法或拉氏反變換法.
(2 )非齊次狀態方程的解:
設n階非齊次方程
狀態方程[控制科學]將狀態方程左乘e,有
狀態方程[控制科學]移項 積分,再移項左乘e,得
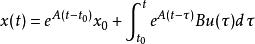
狀態方程[控制科學]【定理2】 n階線性定常非齊次方程(5)的解為
狀態方程[控制科學]從非齊次狀態方程解的表達式可以看出其解是由齊次方程的解與控制u(t)的作用兩部分結合而成。
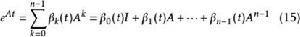
狀態方程[控制科學](3 ) 的計算方法
(3.1 )定義法:
狀態方程[控制科學](3.2 )拉氏變換法:
狀態方程[控制科學](3.3 )特徵值法:
這種方法分兩種情況計算。
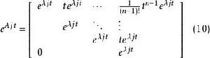
狀態方程[控制科學]首先,考慮A的特徵值不重時(互異),設A的特徵值為λ(i = 1,2,...n),則可經過非奇異變換把A化成對角標準形,即:
根據e的性質7寫出
狀態方程[控制科學]根據定義,得
狀態方程[控制科學]從而可得:
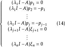
狀態方程[控制科學](9)式即為A的特徵值不重時,計算e的公式。其中P陣為把A化為對角標準形的交換陣。P陣的特徵向量的求法:
狀態方程[控制科學]若矩陣A的具有重根時,用上述的方法也可以推導出:重根所對應的約當塊Aj的矩陣指數e的分式為
狀態方程[控制科學]求矩陣指數e的分式為:
狀態方程[控制科學]式中P是把A化為約當標準形的變換陣。當A既有j重根又有互異的根時:
狀態方程[控制科學]P陣的特徵向量的求法:
狀態方程[控制科學]
狀態方程[控制科學]註:在(13)式中將重根對應的特徵向量p,p,...p可放在P陣的前部,也可以放後,無嚴格規定。
(3.4 )萊- 哈密爾頓(Cayley-Hamilton )方法:
狀態方程[控制科學]考慮A的特徵多項式
狀態方程[控制科學]
狀態方程[控制科學]顯然對A的n個特徵值 ,有 。
根據Cayley-Hamilton定理有
狀態方程[控制科學]這裡可以看出矩陣A與λ具有同等地位。
狀態方程[控制科學]移項
狀態方程[控制科學]
狀態方程[控制科學]上式表明, 是 的線性組合。
因此,可設
狀態方程[控制科學]
狀態方程[控制科學]
狀態方程[控制科學]式中, 是待定係數, 。
下面分兩種情況確定待定係數:
狀態方程[控制科學]
狀態方程[控制科學](1)A有n個不同特徵值 ,A的特徵值 與A具有同等地位,則有
狀態方程[控制科學]
狀態方程[控制科學]這裡共有n個方程,可以唯一確定n個待定係數 。
狀態方程[控制科學]
狀態方程[控制科學]
狀態方程[控制科學]
狀態方程[控制科學]
狀態方程[控制科學]
狀態方程[控制科學]
狀態方程[控制科學]
狀態方程[控制科學]
狀態方程[控制科學]
狀態方程[控制科學]
狀態方程[控制科學]
狀態方程[控制科學]
狀態方程[控制科學]
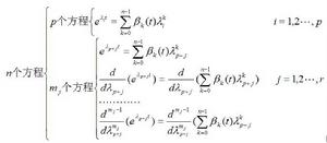
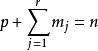
狀態方程[控制科學](2) 當A的特徵值有重時,設A有p個互異特徵值,r個不同的重特徵值,且各重數為 , 。若 是 重特徵值,則將 滿足的方程 對 求 次導,這樣共有 個獨立方程。一般地,設A的特徵值為 為單特徵值。其中, 是 重特徵值, 為 重特徵值。
狀態方程[控制科學]
狀態方程[控制科學]有 ,則 由下面n個獨立方程確定:
狀態方程[控制科學]線性定常離散系統的狀態方程求解
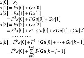
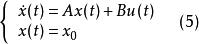
對n階線性定常離散系統
狀態方程[控制科學]其求解方法有兩種:
(1 )遞推法:
狀態方程[控制科學](2 )Z 變換法:
Z是頻域解法。對式(17)作Z變換,有
狀態方程[控制科學]移項,得
狀態方程[控制科學]
狀態方程[控制科學]左乘 ,得
狀態方程[控制科學]
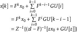
狀態方程[控制科學]取 ,得
狀態方程[控制科學]【定理3】n階線性定常離散系統式(17)的解為
狀態方程[控制科學]