對於溶液(尤其是高分子溶液),常用到以下幾種黏度 。
相對黏度(又稱黏度比)是溶液(或分散相)的黏度η與溶劑(或連續相)的黏度η0之比,即:
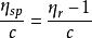
特性黏度增比黏度(又稱比黏度)是溶液(或分散相)的黏度η與溶劑(或連續相)的黏度η0之差被溶劑(或連續相)黏度的η0除得之商,即:
特性黏度比濃黏度(又稱換算黏度或黏度數)是單位濃度的溶液(或分散相)的增比濃度,即:
特性黏度比濃對數黏度(又稱對數黏度)是相對黏度的自然對數被溶液(或分散相)的濃度除得之商,即:
特性黏度特性黏度(又稱極限黏度)是濃度趨於零時比濃黏度的極限值,即:
特性黏度
