定義
熱耗率指每產生1kWh 的電能所消耗的熱量。
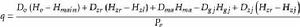
計算公式
對於一般的機組,基於熱量平衡原理,計算其熱耗率的通用公式為
熱耗率 式中:
熱耗率 ——為主蒸汽流量;
熱耗率 ——為主蒸汽焓值;
熱耗率 ——為鍋爐主給水焓值;
熱耗率 ——為再熱蒸汽管道熱段流量;
熱耗率 ——為再熱蒸汽熱端焓值;
熱耗率 ——為再熱蒸汽冷端焓值;
熱耗率 ——為化學補給水流量;
熱耗率 ——為化學補給水焓值;
熱耗率 ——為過熱減溫水流量;
熱耗率 ——為過熱減溫水焓值;
熱耗率 ——為再熱減溫水流量;
熱耗率 ——為再熱減溫水焓值;
熱耗率 ——為發電機輸出功率。
影響熱耗率的因素
汽輪機組的熱耗率主要是根據熱力性能試驗數據的計算得到的。熱力性能試驗的目的是掌握汽輪機組實際運行性能,如對新投產的新機組,要做性能考核試驗,來檢驗機組是否達到製造廠家在技術契約上保證的熱耗率;另外,對機組大修前、後也要進行常規熱力性能試驗,來檢驗大修的質量。影響熱耗率的
主要因素歸納為以下幾點:
(1)發電廠主要設備的性能,汽輪機、鍋爐等設備狀態是否完好,是否採用高新技術(大容量機組、超臨界技術、通流部分全三維設計和高效葉型、高效燃燒等)。
(2)機組運行方式。某些設備因局部故障而採用高壓加熱器(高加)切除運行、過熱器減溫水噴水、再熱器減溫水噴水等。
(3)機組運行參數。運行參數可以分為可控與不可控( 類。可控參數(如主蒸汽溫度、壓力、真空等)是否在該工況最優運行參數下運行等。
(4)一些旁通閥、疏水閥是否存在嚴重泄漏等。以上因素均或多或少地影響機組的熱耗以及運行的經濟性和安全性。

