介紹
在煤炭行業,過濾作業主要用來實現煤泥固體顆粒與水的分離。被過濾的煤泥固體顆粒的粒度上限規定為0.5mm,但在實際生產中,粒度上限常達1mm左右。由於過濾介質和形成的濾餅都有孔隙,在過濾過程中,煤泥水中的水透過過濾介質和已形成的濾餅孔隙時,會帶有微細煤泥顆粒,所以濾液是含有一定量微細煤泥固體顆粒的懸浮液。
過濾過程的動力是過濾介質兩側的壓力差,一般可由靜壓頭、真空泵產生的負壓或由柱塞泵、隔膜泵、離心泵及壓縮空氣等產生的正壓形成,也可用離心力作為過濾過程的動力,但在實際生產中主要依靠負壓或正壓形成。
過濾過程
一般由過濾、濾餅脫水和卸餅3個階段組成。
(1)過濾階段。煤泥水中的水透過過濾介質的孔隙形成濾液,固體顆粒被截留在過濾介質表面形成濾餅。
(2)濾餅脫水階段。受負壓或正壓的繼續作用,從濾餅孔隙和固體顆粒表面排除剩餘的水分。
(3)卸餅階段。用瞬時吹風、機械刮刀、過濾介質折彎或籍濾餅自重等方法從過濾介質上卸落濾餅。
在過濾時,如果以回收濾液作為主要目的,則在濾餅脫水階段結束後,還需增加濾餅沖洗階段,以充分回收濾餅孔隙中及固體顆粒表面上的液相有用成分。在煤炭加工生產中無濾餅沖洗階段。
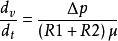
煤泥水過濾在過濾過程中,過濾方程一般用下式表示:
式中v為單位過濾面積所產生的濾液量,m;t為過濾時間、s;μ為液體的動力粘度,N·s/m2;R為過濾介質阻力,1/m;R為濾餅阻力,1/m。
過濾分恆壓過濾、恆速過濾和變壓變速過濾3種。過濾介質後面的空間與恆定的負壓源相連,或者煤泥水前面的空間與恆定的壓力源相連時,過濾壓力保持恆定稱恆壓過濾。用轉速恆定的電機驅動的往復式柱塞泵形成的正壓作為過濾動力源時,過濾速度保持恆定稱恆速過濾。用離心泵輸送懸浮液形成的正壓作動力源時,其過濾壓力和過濾速度隨時間而變化的過程稱變壓變速過濾。
影響因素
影響過濾作業技術指標 (單位面積處理能力、濾餅水分及濾液濃度)的主要因素有:①煤泥水密度、粘度及氫離子濃度;②煤的礦化程度、灰分、密度及粒度組成;③用作過濾動力的壓力差大小;④過濾介質的性質及開孔率;⑤濾餅脫落率。在煤泥水過濾前,先進行濃縮、摻入較粗粒物料改善濾餅結構、添加助濾劑、選用阻力小及透氣性好的過濾介質和改進卸餅方式等都有助於提高過濾作業的技術指標。
煤泥屬多分散性物料,它由不同形狀、粒度和物質成分的顆粒組成。從過濾角度看,煤泥可分為易過濾和難過濾2種。前者以大於50μm的顆粒為主、灰分較低的粗煤泥;後者以小於50μm的顆粒為主、灰分較高的細煤泥。浮選精煤、浮選中煤和原煤煤泥由於其粒度組成較粗、灰分較低、構成的煤泥水粘度較小,易於過濾,因此一般用負壓作為過濾動力,所用的過濾設備有圓盤式真空過濾機、圓筒外濾式真空過濾機或折帶式真空過濾機,也有少數採用帶式真空過濾機。為了降低濾餅水分、提高單位過濾面積處理能力,20世紀80年代已研製成功用壓縮空氣作過濾動力的加壓過濾機。浮選尾煤及其他高灰分、細顆粒煤泥由於難於過濾,因此採用離心泵或往復式柱塞泵作為給料動力的壓濾機來過濾。少數廠也有採用圓盤式真空過濾機、折帶式真空過濾機、水平帶式真空過濾機或帶式擠壓機過濾,但效果不及壓濾機。由於壓濾機的入料壓力高,允許採用細密的過濾介質,所得出的濾液比較純淨,因此壓濾機已成為選煤廠及水採礦井過濾回收浮選尾煤及其他細顆粒、高灰分的煤泥,實現洗水閉路循環的主要把關設備。
過濾介質
過濾時用以阻留固體顆粒、滲透液體的多孔隙的固態隔離層。常用合成纖維或金屬絲織物作過濾介質,通稱濾布。
正確選用過濾介質直接關係到過濾設備的單位面積處理能力、濾液的固體含量和濾餅的水分。選擇的根據是入料粒度組成、過濾條件、所採用的過濾設備及對過濾產品的要求。
過濾介質在煤泥水過濾時要承受3種作用: ①經常交替變化的負壓和常壓、正壓和常壓或負壓和正壓負荷的作用; ②與固體煤粒接觸時的侵蝕作用和煤泥水內腐蝕性物質的腐蝕作用; ③微細煤粒和泥質顆粒對介質孔隙的堵塞作用。
過濾介質應能滿足下列3方面的要求: ①良好的過濾性能;②強度高,抗曲折,耐磨,殘餘變形小,耐腐蝕和有抗交變載荷能力;③粘附性小,能保持空隙不堵和容易再生。
用作過濾介質的材料,採用真空過濾機過濾煤泥水時,過濾介質的孔徑一般為0. 3~0. 2mm,用作過濾介質的材料有合成纖維織物、不鏽鋼絲織物及有色金屬合金絲織物;採用壓濾機過濾煤泥水時,過濾介質的孔徑要力求細密,以取得純淨的濾液,用作過濾介質的材料有合成纖維織物、無紡布及合成濾毯等。
濾餅
過濾過程中在過濾介質一側形成的固體顆粒層。在煤泥水過濾時,回收的濾餅量占入料中固體量的百分數和濾餅水分是過濾作業的兩項主要技術指標。在煤泥水性質一定時,前者主要取決於過濾介質的開孔率,後者主要取決於壓力差、過濾介質開孔率及濾餅脫水時間。
濾餅可大致分為不可壓縮和可壓縮的兩種。浮選精煤和低灰分粗粒煤泥屬於壓縮性小的物料,易於過濾。用真空過濾機過濾浮選精煤時,濾餅水分為26%~30%;用加壓過濾機過濾時,濾餅水分為18%~20%。浮選尾煤和高灰分細粒煤泥屬於壓縮性較大的物料,用壓濾機過濾時,濾餅水分21%~23%。
濾液
過濾過程中透過過濾介質的液體。在煤泥水過濾時,由於過濾介質和濾餅都有孔隙,濾液含有一定量細粒固體顆粒的懸浮液。
濾液中的固體含量主要取決於過濾介質的開孔率、濾餅結構中的煤泥粒度組成。過濾介質的開孔率越大,煤泥粒度組成越細,濾餅的孔隙越大,濾液的固體含量越高。採用真空過濾機過濾浮選精煤時,濾液的固體含量一般為30~60g/L。採用壓濾機過濾浮選尾煤時,濾液的固體含量一般小於0. 03g/L。
脫落率
濾餅脫落量占全部濾餅量的百分數。
影響濾餅脫落率的主要因素有: ①濾餅的粒度組成、灰分、礦物成分及厚度;②濾布材料、性質、孔隙尺寸及再生情況; ③濾餅的卸落方式。
濾餅的卸落方式基本上有5種:①瞬時反吹風;②機械刮落;③瞬時反吹風與機械刮刀並用;④濾布折彎卸落;⑤靠濾餅自重卸落。其中前3種用於圓盤式和圓筒外濾式真空過濾機; 第4種用於折帶式和水平帶式真空過濾機及帶式擠壓機;第5種用於廂式壓濾機。對圓筒外濾式真空過濾機,以採用濾布折彎卸餅方式較好,同時可用濾布反面噴壓力水進行清洗再生,可保持較高的濾餅脫落率。
助濾劑
提高過濾效果所使用的藥劑。助濾劑可改變脫水煤粒的表面物理化學性質,改善濾餅結構及其透氣性,強化過濾過程,提高過濾設備的處理能力及降低濾餅水分或濾液中的固體含量。
按助濾劑的化學成分可分為陽離子型、陰離子型和非離子型3種。在套用時可根據藥劑的性能、被過濾的煤泥水中的固相和液相的性質、過濾設備的過濾條件來選擇藥劑的類型,一般配成0.05%濃度的水溶液使用,以提高藥劑與煤粒的接觸機率,節約藥劑用量。

