參數
水力表面負荷
水力表面負荷(單位沉澱池面積在單位時間內所能處理的污水量)。
初沉池內發生的沉澱,主要以絮凝沉澱為主。對一座沉澱池來說,當進水量一定時,它所能去除的顆粒的大小也是一定的。在所能去除的顆粒中,最小的顆粒沉速正好等於該沉澱池的水力表面負荷。因此,水力表面負荷越小,所能去除的顆粒越多,沉澱效率越高;反之水力表面負荷越大,沉澱效率越低。
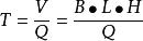
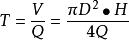
水力表面負荷計算公式:
溢流率(1)平流式初沉池
溢流率式中Q——初沉池入流流量,m³/h;
B、L——沉澱池的寬和長,m
(2)輻流式初沉池
溢流率式中D——沉澱池的直徑,m。
初沉池的水力表面負荷一般在1~2m³/(m²·h)。當後續處理工藝為活性污泥法時,一般控制在1.3~1.7m³/(m²·h);當後續處理工藝為生物濾池等生物膜法時,一般控制在0.85~1.2m³/(m²·h)。
水力停留時間
水力停留時間是重要的運行參數,只有足夠的停留時間,才能保證良好的絮凝效果,獲得較高的沉澱效率。一般控制在1.5~2.0h。
水力停留時間的計算公式:
溢流率式中V——有效體積。
(1)平流式初沉池
溢流率式中Q——初沉池人流流量,m³/h;
B、L、H——沉澱池的寬、長和有效水深,m。
(2)輻流式初沉池
溢流率式中D——沉澱池的直徑,m;
H——有效水深,m。
水平推進流速
水平推進流速(輻流式為徑向的推進速度)。
水平推進流速對沉澱效果影響不大,但應注意不得超過沖刷速度。沖刷速度是足以將已經沉下的污泥重新沖刷起來的流速,初沉池的沖刷速度很大,一般為50mm/s,一般運行正常的初沉池很難達到這個速度,但在下雨時應注意核算。
計算公式:
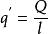
溢流率出水堰板的溢流負荷
出水堰板的溢流負荷(單位堰板長度在單位時間內所能溢流出來的污水量)。
該參數能夠控制污水在出水端保持均勻而穩定的流態,防止污泥及浮渣的流失。一般控制在小於lOm³/(m·h)。
計算公式:
溢流率式中Q——總溢流污水量,m³/h;
溢流率——堰板總長度,m。
影響因素
(1)表面負荷
表面負荷增加,可影響懸浮物的有效沉降,使懸浮物的去除率下降,水力負荷率一般取0.6~1.2m³/(m²·h)為宜。
(2)廢水性質
①新鮮程度
新鮮的污水沉澱後去除率較高,廢水新鮮程度又取決於污水管道的長短、泵站級數等,此外缺氧的高濃度工業廢水易於腐敗變質。
②同體物顆粒大小、形狀和密度
廢水中的固體物顆粒大、形狀規則、相對密度大時沉降較快。
③溫度
廢水溫度降低、水中懸浮物黏滯度增加,例如懸浮物在27℃時比10℃時沉降快50%。然而水溫高也會加速污水的腐敗、厭氧發酵,出液的密度差減少,不利於顆粒物下沉。從而降低懸浮物的沉降性能。故應綜合這兩個因素並結合污水網管系統具體狀況一起分析。
(3)操作因素
前道工序如格柵井或沉砂池的運行狀況可直接影響初沉池的運行。若前道工序運行不好會加重初沉池的負荷,並降低去除效果。
(4)污泥進入狀態
在二沉池污泥和污泥消化池的消化污泥進入初沉池的處理系統中,應特別注意使污泥均勻、穩定地進入。切忌間隙、衝擊式投加,否則會使初沉池超負荷運行,腐化污泥數量亦大大增加,影響到固體的去除,並對環境產生不良影響。
