一、概述
1、該產品是本公司在吸收國內外多種直接式加熱器的優點的基礎上,研製出的一種新型加熱器,它具有消聲效果好、振動小、結構簡單,安裝方便的優點。而且節約能源,熱利用率達98%以上,適用於食品,化工等一切用蒸汽製備熱水與開水的場合。
渦旋式消聲加熱器型號編制二、外形、安裝尺寸
渦旋式消聲加熱器安裝尺寸
三、工作原理
DXX旋轉式消聲加熱器腔體環壁上分布著若干組大小通徑配套的小孔,當蒸汽從其中的斜向小孔向外高速噴出時,冷水從每組配套的另一小孔中被引射出來,兩者迅速進行熱交換,由於加熱器中的蒸汽是沿切線方向旋轉噴出的,這樣一方面大大減小了蒸汽對被加熱液體的衝擊角度,有效降低了由於蒸汽對液體的衝擊振動而產生的噪聲。另一方面蒸汽沿切線方向旋轉噴出,帶動被加熱液體產生同向旋轉,冷熱對流變得更加頻繁,這個過程使蒸汽汽泡產生的噪聲,被壓到最低限度,且整個容器內的液體在旋轉運動中被很快加熱。
四、工作特性
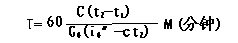
1、工作特性計算公式:
公式其中:T—加熱時間(分鐘)M—加熱水重量(kg)G0—單位時間蒸汽耗量(kg/h)
t1、t2—加熱前後的溫度值(℃)i0″—飽和蒸汽熱焓(kcal/kg)
C—水的比熱容(kcal/kg·℃)。
2、套用舉例:
在蒸汽工作壓力P=0.4MPa(表壓)時,選用DN32規格的加熱器,把1.5噸水,從15℃加熱到80℃,所需時間T?
查表得知P=0.4MPa時,DN32加熱器蒸汽耗量549kg/h,熱焓656.3kcal/kg。
所以:
公式五、選型說明
1、設計選型:工作特性公式可變形為:
公式根據已知的M、C、T、t1、t2、i0″的值,算出所需蒸汽耗量G0.然後根據工況P值,查最大蒸汽耗量表,即可確定加熱器的型號,若單個加熱器蒸汽噴入量不足,可採用多個加熱器並聯加熱。
2、改造選型:按原有蒸汽管道大小,選配同規格加熱器即可。
3、設計選型舉例:
現有5噸的浴室熱水箱一個,在蒸汽工作壓力P=0.4MPa(表壓)時,要求在25分鐘內將水箱內的水從10℃加熱到65℃,問需要選用的加熱器的規格和數量?
公式對照表2,選用DN50型加熱器一個(G0=1153)即可
在不同蒸汽工作壓力時,加熱器蒸汽耗量G0及飽和蒸汽熱焓i0″-覽表
表六、安裝調試
1、該產品使用時,須至少浸入水面下300mm,且離容器的側壁與底部不小於200mm,最好放置於容器的幾何中心。
2、選型時,管道的口徑應大於或等於加熱器的公稱通徑,多個加熱器並聯使用時,蒸汽管道的截面積應大於或等於所有的加熱器連線管截面積之和。
3、蒸汽壓力大於0.5MPa(表壓)時,應裝蒸汽減壓閥減壓,其前加裝過濾器。
4、蒸汽管路上近加熱器處,須安裝止回閥,防止停汽時,發生虹吸現象,導致發生水倒流的事故。
5、近加熱器的蒸汽管應該牢靠結實的固定,使之工作時,不致於擺動。
6、加熱器多台並聯使用,宜均勻分布,因為重量較大,應加以支撐,安裝定位視現場情況而定。
7、水箱的水溫與水位,宜採用溫度控制儀與水位控制儀進行測控。
8、使用中如果加熱器加熱速度變慢,可能是其內部汽孔被堵塞,應拆下加熱器將堵塞汽孔的雜質清除乾淨,並將污物從排污口排出,加熱器最好每個月清理一次。
