標量三重積
定義
標量三重積是三個向量中的一個和另兩個向量的叉積相乘得到點積,其結果是個贗標量。
混合積
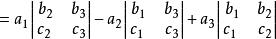
混合積設 為三個向量,則標量三重積的定義為 .
特性
混合積設 ,則有
混合積證明
混合積
混合積
混合積
混合積
混合積利用行列式的特性,可知順序置換向量的位置不影響標量三重積的值:
混合積任意對換兩個向量的位置,標量三重積與原來相差一個負號:
混合積
混合積
混合積若任意兩個向量相等,則標量三重積等於零:
混合積其他記號
有時候,標量三重積會以括弧表示:
混合積幾何意義
幾何上,由三個向量定義的平行六面體,其體積等於三個標量標量三重積的絕對值:
混合積證明
以 b和 c來表示底面的邊,則根據叉積的定義,底面的面積A為
混合積
混合積
混合積
混合積
混合積,其中 是b與c之間的角,而高h 為 ,其中 是 與h之間的角。
混合積
混合積
混合積
混合積
混合積
混合積
混合積
混合積
混合積的大小限定為 。而向量 與a之間的角 則有可能大於90°( )。也就是說,由於 與 h 平行, 的值要么等於 ,要么等於 。因此
混合積
混合積,且 。
我們得出結論:
混合積,
混合積於是,根據點積的定義,它等於 的絕對值,即
混合積。
證畢。
向量三重積
向量三重積是三個向量中的一個和另兩個向量的叉積相乘得到的叉積,其結果是個向量。
定義
混合積對於三個向量 ,向量三重積的定義為
混合積。
值得注意的是,一般來說,
混合積。
特性
混合積以下恆等式,稱作 三重積展開或 拉格朗日公式,對於任意向量 均成立:
混合積
混合積
混合積英文中有對於第一式有助記口訣BAC-CAB (BACK-CAB,後面的計程車),但是不容易記住第一式跟第二式的變化,很容易搞混。 觀察兩個公式,可得到以下三點:
混合積兩個分項都帶有三個向量 ( )。
三重積一定是先做叉積的兩向量之線性組合。
中間的向量所帶的係數一定為正(此處為向量b)。
在向量分析中,有以下與梯度相關的一條恆等式:
混合積
混合積這是一個拉普拉斯-德拉姆運算元的特殊情形。
套用
計算平行六面體的體積
平行六面體如右圖所示,當a、b、c向量組成右手系時,平行六面體的體積V= [a b c] 。

