科技名詞定義
中文名稱:混凝試驗攪拌器
英文名稱:
百科名片
一種能按要求改變轉速和時間並動態顯示數據的攪拌裝置。一般採用多聯混凝試驗攪拌器,又稱混凝試驗攪拌機、混凝試驗攪拌儀、六聯攪拌器、六聯攪拌機、六聯攪拌儀,並同時配備圓形或方形攪拌試驗杯,是混凝沉澱燒杯試驗的主要設備。
混凝試驗攪拌器
混凝試驗攪拌器目錄
術語
技術要求
技術性能
技術參數
模擬試驗
速度梯度計算
術語
一、混凝沉澱燒杯試驗
一種套用攪拌杯系列研究或控制混凝沉澱過程的方法。又稱混凝試驗、混凝燒杯試驗、燒杯攪拌試驗。
二、模擬試驗
探求混凝沉澱燒杯試驗與淨水廠中混合、絮凝和沉澱生產工藝運行相似性的試驗過程。
三、攪拌器
一種能按要求改變轉速和時間的攪拌裝置。一般採用多聯攪拌器,又稱多位攪拌器或成組攪拌器,是混凝沉澱燒杯試驗的主要設備。
四、攪拌試驗杯
混凝沉澱燒杯試驗中用於盛水樣的容器。
五、速度梯度
兩相鄰液體層間的速度微分量與距離微分量的比值。可間接反映絮凝過程中顆粒的接觸碰撞速率和絮體的成長尺度及其密度。
技術要求
一、攪拌器
1、可同時攪拌幾個攪拌試驗杯的多聯攪拌器;
2、底部應有觀察絮體的照明裝置,且照明裝置不應引起水樣溫度升高;
3、應有加注藥劑的小試管和放置試管的支架,且能同時對攪拌杯投加藥劑;
4、攪拌生產的速度梯度G值應在1000~20s範圍內可調;
5、攪拌槳宜採用無級調速,否則其轉速不應少於5檔。轉速應能控制,有顯示,其精度士2%。當一個或幾個槳葉停止或啟動攪拌時,不應影響其他槳葉的轉速;
6、攪拌時間應能控制,精度士1%,有顯示;
7、宜採用單平直式葉槳;
8、所有槳葉的材質應相應相同且均勻,形狀和尺寸上應相同,精度士1mm,徑向擺動應不大於2mm,應具有化學穩定性、耐腐蝕性,對試驗不產生影響;
9、各槳葉軸中心線應鉛垂,允許偏差士2mm;
10、槳葉在各個攪拌杯中的幾何位置應相同(槳葉上緣距水面、邊緣距杯壁、下緣距杯底的距離相同),允許偏差士2mm;
11、攪拌過程中槳葉應全部淹入水體中;
12、槳葉應能自由上升和降下;
13、攪拌時整套裝置應保持平穩,嚴禁槳葉在轉動時扭彎。
二、攪拌試驗杯
1、應具有相同的材質、尺寸和形狀,並且有化學穩定性、耐腐蝕性,對試驗不產生影響;
2、材料應採用透明塑膠或有機玻璃,形狀宜為方形,寬深比(有效寬度與有效水深之比)宜為 1:1 ~ 1:1.2,有效容積應不小1000mL;
3、有固定方便的水咀式取樣口,取樣口可設於距水面下1/2水深處;
4、攪拌杯上的體積刻度誤差不大於2%。
技術性能
1、微電腦控制、超大彩色液晶屏全中文高清晰顯示,可根據選單和提示進行各項操作,在攪拌中同時動態顯示各種參數;
2、儀器採用一體化設計,液晶屏中文控制器和機械攪拌體不需要另外用電纜連線,外形美觀,操作方便,安全性能好;
3、六根攪拌軸既可以同步運行,每根攪拌軸能以同樣的轉速運行;又可以獨立運行,每根攪拌軸能以不同的轉速獨立運行;
4、簡單易學的全中文編程方法,程式最多可存儲20 種,每種程式自動無級變速10次
5、能根據不同容量的試驗杯選擇不同的計算方法自動計算G值GT值
6、攪拌軸採用最精確可靠的步進電機驅動,轉速精確度高,重複性誤差為零;
7、自動加藥系統可在攪拌開始時自動加藥並計時;根據需要可設定多次自動加藥;
8、攪拌桿自動升降系統能在攪拌程式完成後自動升起;沉澱結束時有語音信號提示;
9、自動測溫功能可根據溫度和其他參數自動計算G值,攪拌結束時自動顯示GT值;
10、配備專用圓形(或方形)有機玻璃攪拌試驗杯和試管;
11、試驗杯底座配有照明光源,觀察絮凝效果更清楚;
12、不鏽鋼機箱製造,外形優雅,美觀大方;
技術參數
可設程式數量: 20種;每種自動無級變速10次
時間範圍: 0 ~ 99分59秒x10 ±0.01
轉速範圍: 10 ~ 800轉/分 ±0.01
模擬試驗
一、應按下列步驟確定混合攪拌轉速和時間:
1、 測定淨水廠混合過程中的速度梯度,計算混合攪拌轉速。
2、 在淨水廠混合裝置末端取混合後的水樣,立即置於攪拌器的設定位置。設定絮凝速度梯度為100 ~ 20中的某一值,攪拌5 ~ 10min中的某一時間,靜止沉澱5min後測定濁度。
3、 把裝好原水水樣的一組攪拌杯置於攪拌器的設定位置。按本條第1款設定混合攪拌轉速,同時各杯設定不同的混合攪拌時間;按本條第2款設定絮凝攪拌轉速和時間。
4、啟動攪拌器,加入與生產使用相同品種和投加量的藥劑,攪拌至設定時間,各杯靜止沉澱5min後取樣測定濁度。
5、重複本條第3 ~ 4款,直到某一攪拌杯水樣的濁度與本條第2款相同或相近,則該攪拌杯的混合攪拌轉速和時間即為模擬混合操作參數。
二、根據淨水廠絮凝池構造形式將絮凝攪拌轉速和時間劃分為若干檔,應分別按下列步驟進行模擬試驗:
1、 第一檔絮凝攪拌轉速和時間。
1) 測定淨水廠絮凝池第一檔的速度梯度,計算第一檔絮凝攪拌轉速。
2) 在絮凝池第一檔末端取水樣,立即置於攪拌器的設定位置,用比第一檔轉速小的轉速攪拌5min。靜止沉澱5min後取樣測定濁度。
3) 把裝好原水水樣的一組攪拌杯置於攪拌器的設定位置。按第4.2.1條設定混合攪拌轉速和時間;按本條款第1)項設定第一擋絮凝攪拌轉速,同時各杯設定不同的攪拌時間,再按本款2)項設定下一檔絮凝攪拌轉速和時間。
4) 啟動攪拌器,加入與生產使用相同品種和加量的藥劑,攪拌至設定時間。各杯靜止沉澱5後測定濁度。
5) 重複本款第3) ~ 4)項,直到某一攪拌杯水樣的濁度與本款第2)項相同或相近,從而確定第一檔模擬絮凝攪拌轉速和時間.
2、參照本條第1款的試驗方法,依次確定第二、第三等檔的模擬絮凝攪拌轉速和時間。
三、應按下列步驟確定沉澱時間:
1、測定沉澱池出水濁度。
2、把裝好原水水樣的一組攪拌杯置於攪拌器的設定位置,依據第4.2.1條設定混合攪拌轉速和時間;依據第4.2.2條設定各擋絮凝攪拌轉速和時間。
3、啟動攪拌器,加入與生產使用相同品種和投加量的藥劑,攪拌至設定時間,分別測定不同靜止沉澱時間後的濁度。
4、重複本條第2 ~ 3款,直到某一攪拌杯水樣的濁度與沉澱池出水濁度相同或相近,從而確定模擬沉澱時間。
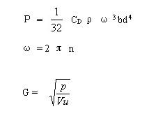
速度梯度計算
水樣的速度梯度可按下列分式確定:
混凝試驗攪拌器式中
P 一 攪拌功率,即槳葉在攪拌杯中轉動時消耗的功率,
ω 一 槳葉旋轉角速度,S -1;
G 一 速度梯度,S -1;
d 一 槳葉直徑,m;
b 一 槳葉高度,m;
ρ 一 水樣的密度, kg/m 3;
n一 槳葉旋轉速度,r/s;
μ一 水的動力粘滯係數,pa.s;
GD 一 阻力係數,根據具體設備確定;
V一 水樣體積,m 3 。

