概述
流體格線法(fluid-in-cell method)是求解非定常可壓縮流動問題的一種歐拉差分法。歐美簡稱它為FLIC法,蘇聯稱它為大粒子法。
流體格線法是里奇(Rich , M.)於1963年,金特里(Gentry, R. A. )、馬丁(Martin, R. E. )、戴利<Daly, B. J.)於1966年以及別洛柴可夫斯基(EenouepxoBCxH,O. M.)、達維多夫(}OBbIj[OB, }. N1.)於1971年在哈洛的質點格線法基礎上將單一格線元看做一個大粒子而發展起來的。
它和PIC法不同之處在於在第二步計算中不計算質點的遷移,而計算連續流體的遷移,即先算出通過格線邊界的質量輸運量,從而得到每個格線的新密度,再算出通過格線的質量所攜帶的動量和能量的輸運量,最後得到每個格線的新速度和能量。該方法的突出特點是對於複雜的流動問題用比較適中的計算機時間就可得到相當準確的解。它特別適於包含大流動畸變的單種物質的流動問題。
理論部分
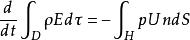
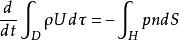
在邊界是 r 的任意區域D中、無粘性、無熱傳導的流體動力學方程組可寫成
流體格線法
流體格線法
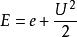
流體格線法其中ρ是流體的密度,U是流體速度,E是總能量,它是比內能 e和動能之和,
流體格線法τ是體積元(或面元),s是面積元 (或線元), n是邊界τ上外法線的單位向量。第一個方程表示質量守恆,第二個方程表示動量變化率等於邊界上壓力和,第三個方程表示總能量的變化率是外來作功之和 .
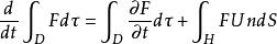
另一方面,可以推出,
流體格線法這裡F=(ρ,ρu,ρv,ρE),此方程右端第一項表示在固定區域中質量、動量和總能量的變化率,第二項分 別是單位時間內流體經邊界流過的質量流、動量流和能量流。
前三個方程是拉格朗日方程組。將其帶入方程4可以得到歐拉流體動力學方程組。
流體格線法是以歐拉方程組作為 第一步,而以歐拉流體動力學方程組作為第二步來求歐拉 方程組的數值解 :先用已算好的時刻t 的結果作為初值連同邊界條件一起求逼近歐拉方程組的數值積分,這一步只考慮了與壓力有關的項,而後,以這一 步所得到的中間結果作為 初值,連同邊界條件一起,求逼近歐拉流體動力學方程組數值 積分,該步考慮了對流項的貢獻。這樣就得到了逼近方程的數值解。
質點格線法(PIC)
概述
質點格線法(particle-in-cell method)是計算二維非定常可壓縮理想流動問題的歐拉-拉格朗日混合方法,簡稱PIC法,它特別適用於計算具有多種介質和大變形流動的問題。
在流體動力學中,通常可用歐拉和拉格朗日兩種不同坐標系來求解流體動力學問題,即所謂歐拉法和拉格朗日法。歐拉法可用於求解流體大畸變問題,但精度不高,而且在各個區域進行物質輸運時會產生嚴重的物質擴散,使界面和自由面的位置不能精確確定。拉格朗日法正好相反,計算精度較高,能精確確定界面和自由面,但不能處理流體大畸變和在各種介質之間有剪下間斷的滑移現象。針對這種情況,美國F.H.哈洛等人於1955年成功地把歐拉法和拉格朗日法結合起來,提出了質點格線法。
基本要點
PIC法的基本要點是,把含有多種介質的流動所通過的區域用歐拉法分成有限個格線,每個格線中的每種流體,用一組特定的離散化拉格朗日質點表示。圖中“×”表示一種流體質點,“·”表示另一種流體質點。只包含一種流體質點的格子稱為純單元,兩種流體質點同時存在的格子稱為混合單元,不存在任何流體質點的格子稱為空單元。每個質點具有一定的質量,每個格線單元內的質點數目和質點分布都以流體流動的初始狀態為依據,而且這些質點具有一定的速度和能量。計算開始後,質點在歐拉格線之間遷移,表示流體在運動。
在每個時間步長內,計算分兩步:第一步用歐拉法計算,即忽略偏微分方程中的輸運效應,用差分方法計算由壓力分布所引起的歐拉格線上速度(或動量)和能量的變化。若一個格線內含有多種流體,就應按一定的規則把能量的改變數適當分配給不同的質點。第二步是質點遷移計算,它是在第一步的基礎上,按一定的加權平均方法計算出每個質點的速度和在時間步長結束時的新位置。一個質點從一個格線遷移到另一個格線,就把所攜帶的質量以及相應的動量和能量從原來的格線輸送到新的格線中去。這一步實質上是對第一步計算中忽略的輸運效應計算的補償。
在具有激波間斷的流動中,處理激波間斷是一個難題(見激波數值處理)。PIC法由於有非線性的耗散效應,不僅可以減少差分格式所引起的起伏現象,而且起著類似於人工粘性的作用。因此,PIC法能自動處理流動中的激波間斷。但在低速流動和固壁條件的計算中,這個耗散效應很弱,為了使計算穩定,還須引入人工粘性。
要得到較好的計算結果,除應考慮滿足一定的穩定性條件外,還須考慮每個單元內的質點數目和分布以及它們的內能等。
