定義
法拉第旋轉效應直線極化波在磁化電漿中沿磁場方向傳播時,電磁波的極化面在磁化電漿內以前進方向為軸不斷旋轉,這種現象現象稱為法拉第旋轉效應。
原理
一個直線極化波可以分解為兩個振幅相等,旋轉方向相反的圓極化波。在各向同性媒質中,這兩個圓極化波相速相同。因而,在傳播過程中,合成波的極化面始終保持不變。但在磁化電漿中,由於兩個圓極化波的相速不相等,在傳播一段距離後,合成波的極化面已不在原來方向,即電磁波的極化面在磁化電漿內以前進方向為軸不斷旋轉,這種現象現象稱為法拉第旋轉效應。
分類
1均勻平面波在磁化電漿中傳播
法拉第旋轉效應
法拉第旋轉效應
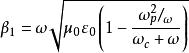
法拉第旋轉效應當沒有外加磁場時,電漿呈各向同性,外加恆定磁場是使電漿呈各向異性。當電磁波沿外加磁場方向通過電漿時,將出現兩個圓極化波,一個是左旋圓極化波,一個是右旋圓極化波。左旋圓極化波的相位常數是,右旋圓極化波的相位常數是,為電漿頻率,可以看出,兩個圓極化波的相速不一樣,因而合成波的極化面將以波的前進方向為軸而不斷旋轉。當外加磁場為零時,兩個圓極化波的相速相等,合成波為直線極化波,沒有法拉第效應。
2均勻平面波在磁化鐵氧體中傳播
在鐵氧體中,原子核周圍的電子有公轉和自轉運動,這兩種運動都要產生磁矩。公轉磁矩因電子各循不同方向旋轉而相互抵消。自轉磁矩對於一般物質也是相互抵消的,但鐵氧體並非如此,而是在許多小區域內相互平行,自發磁化而形成磁疇。在沒有外加磁場作用時,這些磁疇的磁矩相互抵消,因而鐵氧體不顯磁性。但當鐵氧體置於外加磁場時,每一磁疇的方向都會轉動因而與外磁場方向接近平行,產生強大的磁性。
與電磁波通過電漿類似,當電磁波沿外加磁場方向通過鐵氧體時,將出現兩個圓極化波,一個是左旋圓極化波,一個是右旋圓極化波。它們的相速不一樣,使合成波的極化面不斷旋轉,產生法拉第旋轉效應。當外加磁場為零時,兩個圓極化波的相速相等,合成波為直線極化波,沒有法拉第效應。
