酸值(A.V.)是評定油脂中所含游離脂肪酸多少的量度。其定義為:中和1g油脂中游離脂肪酸所需氫氧化鉀的質量(mg),酸值的單位是mg KOH/g。
油脂酸值的大小受很多條件的影響,如原料的質量好壞(成熟的或未霉變的,其酸值較小);原料的組成特性(米糠及棕櫚果等中含義解酯酶,其分解油脂產生的游離脂肪酸);油脂在儲存、加工、運輸期間的含水分、雜質的多少;與溫度、空氣、光照等因素也有關係。
酸值不能直接表示油脂中游離脂肪酸的百分率(F.F.A%),但能表示油脂中游離脂肪酸含量的高低,所以酸值是評定油脂品質好次、油脂精煉程度的重要指標。同時,也是油脂工廠鹼煉脫酸時計算加鹼量的理論依據。
1、測定原理
用中性乙醚—乙醇的混合溶劑溶解油脂試樣後,再用氫氧化鉀標準溶液滴定油脂中的游離脂肪酸,根據消耗氫氧化鉀標準溶液的物質的量和油脂的質量,計算出算酸值的大小。
2、試劑
a.10g/L酚酞指示劑溶液:用95%(體積)乙醇配製。
b.中性乙醚—95%乙醇溶劑:乙醚—95%乙醇(2+1)混合;臨用前每10mL混合溶劑中加入0.3mL酚酞指示劑,用氫氧化鉀標準溶液準確中和。
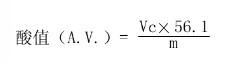
3、結果計算

式中 V——滴定試樣所消耗的氫氧化鉀標準溶液的體積,mL;
C——氫氧化鉀標準溶液的濃度,mol/L;
m——試樣的質量,g
A.V.——酸值,mg KOH/g。
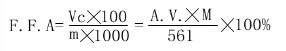
4、油脂酸值與游離脂肪酸(F.F.A)的換算關係為

式中 M——游離脂肪酸的平均分子量;
F.F.A——油樣中游離脂肪酸的質量分數(油酸為282.47;棕櫚酸為256.43;月桂酸為200.32;硬脂酸為284.47;亞油酸為280.47;芥酸為338.57)。
各類油脂酸值滴定結果:
1、妥爾油酸
編號 | 1 | 2 | 3 |
酸值(mgKOH/g) | 194.28 | 183.57 | 191.30 |
成分:油酸、亞油酸、松香酸(6%-8%)混合物
F.F.A=97.08%
市售妥爾油酸提供的指標:

2、蓖麻油酸
編號 | 1 | 2 |
酸值(mgKOH/g) | 158.87 | 160.41 |
成分:蓖麻油酸
F.F.A=84.94%
市售蓖麻油酸指標:

3、7075油酸
編號 | 1 | 2 |
酸值(mgKOH/g) | 198.16 | 197.55 |
成分:油酸
F.F.A=99.46%
4、7070油酸
編號 | 1 | 2 |
酸值(mgKOH/g) | 201.61 | 201.76 |
成分:油酸
F.F.A=101.38%(可能含有分子量比油酸小的脂肪酸)
5、油酸(動物)
編號 | 1 | 2 |
酸值(mgKOH/g) | 204.05 | 202.78 |
成分:油酸
F.F.A=102.25%
市售油酸指標:

6、食用菜籽油
編號 | 1 | 2 |
酸值(mgKOH/g) | 2.02 | 1.93 |
脂肪酸成分:花生酸0.4-1.0%,油酸14-19%,亞油酸12-24%,芥酸31-55%,亞麻酸1-10%
F.F.A=1.11%
7、食用大豆油
編號 | 1 | 2 |
酸值(mgKOH/g) | 0.80 | 0.57 |
脂肪酸成分:棕櫚酸7-10%,硬脂酸2-5%,花生酸1-3%,油酸22-30%,亞油酸50-60%,亞麻油酸5-9%
F.F.A=0.34%
8、米糠油
編號 | 1 | 2 |
酸值(mgKOH/g) | 0.10 | / |
脂肪酸成分:油酸40-52%、亞油酸29-42%、亞麻酸0.5-1.8%、棕櫚酸12-18%、硬脂酸 1.0-3.0%
F.F.A=0.05%


9、椰子油
編號 | 1 | 2 |
酸值(mgKOH/g) | 0.15 | / |
脂肪酸成分:亞油酸2%,棕櫚酸7%,羊脂酸9%,脂蠟酸5%,羊蠟酸10%,油酸2%,月桂酸45%
F.F.A=0.055%
市售椰子油指標:

