二氧化碳與油耗的相互關係
試驗室油耗計算方法
汽車排放試驗在測量各尾氣排放量的同時,也測算油耗。計算油耗的常用方法為碳平衡法。所謂碳平衡法就是根據質量守恆定律,汽柴油經過發動機燃燒後,排氣中碳質量總和與燃燒前燃油中的碳質量總和相等。
通過汽車發動機在燃油燃燒前和燃燒後的碳質量平衡,即可計算出汽車的燃油消耗量。汽柴油燃燒排放過程中,釋放出大量尾氣,其中含碳(C)氣體有碳氫(HC),一氧化碳(CO)和二氧化碳(CO)。試驗室通過採集整個尾氣排放過程中HC,CO和CO的排放總量,計算出含C總量,從而得到該汽車的油耗量 。
碳平衡計算公式
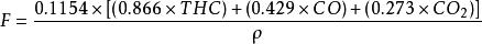
油耗控制碳平衡計算公式為: ,其中ρ=燃油密度為ρ;0.1154為燃油中碳元素的質量比;0.866為C元素在HC中的所占含量比,即12/(1.86+12)=0.8658;0.429為C元素在CO中所占含量比,即12/(12+16) = 0.42857;0.273為C元素在CO中所占含量比,即12/(12+16*2)=0.273 。
測試方法
汽車排放試驗中,測試車被固定在專用測試轉轂上,測試汽車根據排放循環曲線開始運行。排放循環曲線選取國家第四階段汽車排放污染物測試循環來完成,排放測試過程共1180s,由4個城區循環和1個郊區循環組成。每個城區循環耗時195s,郊區循環400s。汽車運行過程中,使用採集袋收集得到汽車在整個排放循環中釋放的尾氣量,根據各尾氣中的含C量計算出汽車燃油消耗值 。
汽車油耗影響因素
先進的汽車技術
汽車自身的技術對油耗有重大影響。相比於上世紀的汽車,現代汽車的燃油經濟性要高出許多,可見汽車技術的重要性。而與油耗相關的技術是多方面的,最重要的包括幾方面:發動機的影響,汽車質量的影響,汽車的傳動效率,以及良好的車況。
發動機的影響
對於同一台發動機,在不同的轉速或扭矩下,所消耗的汽油量是不同的。這與它工作時的溫度、進氣排氣道設計、燃料辛烷值、壓縮比、燃燒室積碳程度、進排氣阻力等因素有關。裝備柴油機的轎車通常比裝備汽油機的轎車省油,這是因為柴油機的熱效率相對更高。排量大的發動機比排量小的發動機更耗油。評定發動機技術的高低的因素,包括發動機功率與車身質量的比值和發動機的升功率。因此排量大的汽車不一定比排量小的汽車費油,這與它們的發動機技術有關。
汽車質量的影響
質量的大小對於汽車的油耗也起著重要作用。汽車的質量會影響汽車的滾動阻力、坡度阻力和加速阻力,這些阻力都會影響油耗。減小汽車質量,能有效降低油耗。
汽車的傳動效率
傳動效率包括變速器的效率和傳動系的效率。變速器分為手動和自動兩種,手動變速器雖操作複雜,但沒有液力變矩器的效率損失,因此油耗更低。根據以往經驗,配置自動變速器的汽車比配備手動變速器的汽車油耗高8%。傳動系的傳動效率越高,機械損失越少,性越好。較大的傳動輸出的動力大,但傳動效率低,經濟性差。因此設計汽車時可以增加汽車檔位,行車時應選用合適的擋位。
車況的影響
隨著汽車裡程的增加,其性能時刻發生著變化。正確的保養對於保持汽車良好的性能和燃油經濟性有著重要的作用。例如:空氣濾清器的濾芯應定期更換,否則將導致濾芯過髒,進氣量減少,混合燃油氣過濃,油耗增加;自動擋汽車在行車制動時未將擋位掛到空擋,使剎車盤長時間處於摩擦狀態,長此以往不僅導致剎車性能下降,還會增加油耗。因此保持汽車良好的車況,對於降低油耗有著重要意義。
良好的使用條件
汽車的使用條件包括道路因素、環境因素、駕駛水平等。為汽車創造良好的駕駛環境而達到節油的目的,已成為各國科研工作者的重要工作。1.道路因素:道路設計時應當減少繞圈子,改善路面的寬度、平整度、坡度。科學合理的道路設計對於提高人們的駕駛效率、減少油耗有著重要影響。合理的交通規劃包括道路規劃和交通安排。例如:若在主幹道上設定較多的紅綠燈,並且相鄰道路的紅綠燈開啟時間不合理,會降低汽車的行駛速度,頻繁的啟動和剎車也會增加油耗;此外即使城市行車不堵,也會因路口多、信號燈多,難以達到最大交通流量,增加整體油耗。2.環境因素:環境因素包括行車速度、行車溫度和風力等。車速對油耗影響非常大,任何汽車的油耗最終是與能耗有關。能量的耗損主要由幾個部分組成:滾動阻力耗能、風阻耗能、發動機燃燒效率、傳動效率、用電器耗能等。通過等速百公里油耗,我們可以了解到,油耗與車速基本成浴盆曲線型關係。在經濟車速時,等速油耗最低,低速或高速都會隨隨車速的改變而增加油耗。行車溫度包括發動機水溫、機油溫度和引擎罩溫度等,溫度過低或過高都會使發動機特性曲線發生變化,進而增加油耗。風力的影響的主要是空氣阻力,當汽車順風行駛時,空氣阻力較小,燃油消耗低;當汽車逆風行駛時,風力越大,空阻越大,油耗越高。3.駕駛員的
駕駛水平
實踐證明,不同技術的駕駛員在相同的路面駕駛相同汽車時,油耗會有小幅度的差別。隨著汽車的普及,非專業駕駛人員越來越多,他們的不良駕駛習慣會導致油耗的增加 。
我國油耗控制體系建立
近年來出台的油耗控制政策從2004年9月2日經國家質檢總局和國家標準委批准發布的《乘用車燃料消耗量限值》算起,我國開始有制度、有標準地控制汽車的燃料消耗量已經有10年時間,同時,這十年也是我國汽車產銷量呈現快速增長的十年,汽車的燃油消耗總量也在不斷攀升,汽車的油耗控制問題顯得越來越重要 。
雖然《乘用車燃料消耗量限值》是我國控制汽車燃料消耗量的第一個強制性國家標準。但事實上,從2001年開始,國家有關部委就正式啟動了汽車燃料經濟性標準體系的研究和標準制定工作,到2008年為止,國家有關部門先後制定和實施了《輕型汽車燃料消耗量試驗方法(GB/T19233-2003)》、《乘用車燃料消耗量限值》、《輕型汽車燃料消耗量標識》等汽車節能領域的一系列重要標準,初步建立起了相對完善的乘用車燃料經濟性標準體系。
2004年,由發改委牽頭組織實施並發布的《乘用車燃料消耗量限值》標準採用了按質量分組的腳踏車最高燃料消耗量評價體系,以“淘汰落後產品、促進技術進步”為目標,在限值設定上實行“抓大放小”、限制大型車輛發展的策略。
《乘用車燃料消耗量標準》採取提前公布、分段實施的方案,從2005年7月1日和2006年7月1日開始分別對新認證車輛及在生產車實施第一階段限值要求,從2008年1月1日和2009年1月1日分別對新認證車輛及在生產車實施第二階段限值要求。標準採用按質量分組的腳踏車燃料消耗量評價體系,按照車輛的整備質量將車輛劃分成16個不同的質量段,並對每個質量段內的車輛設定統一的腳踏車最高燃料消耗量限值油耗限值。如果某種車型的油耗不達標,不準生產、銷售。考慮到小型車絕對油耗低的情況,在不同的質量段之間,對低質量段的限值適當放鬆,對高質量段的限值適當加嚴,從而鼓勵質量輕、油耗低的小型車的發展,並對質量重、油耗高的大型車進行控制。
2008年12月,由國家發展改革委員會提出,國家標準委員會和質檢總局負責頒發了GB22757-2008《輕型汽車燃料消耗量標識》,並於2009年7月1日起實施,這個強制性的國家標準明確規定了汽車燃料消耗量標識的內容、格式、材質和貼上要求。汽車燃料消耗量標識是指輕型汽車將分別標明城市工況、郊區工況和綜合工況下的油耗等三類油耗標識,另外進口新車也同樣要貼油耗標識,以方便消費者辨識油耗程度或節能效果。
2008年,隨著工信部的設立,汽車油耗控制的相關工作也加快了進程。
2009年6月22日,工業和信息化部制定並正式發布了《輕型汽車燃料消耗量標識管理規定》徵求意見稿,該規定是為配合《輕型汽車燃料消耗量標識》的出台而由工業和信息化部起草的。同年,工信部發布了《輕型汽車燃料消耗量標示管理辦法》,該“管理辦法”被認為是建立了輕型汽車燃料消耗量公示制度。
《輕型汽車燃料消耗量標示管理辦法》從2010年1月1日起施行。根據“標識管理”的規定,所有最大設計總質量在3500kg以下的乘用車和輕型商用車在銷售時都必須貼上“汽車燃料消耗量標識”,並標註由國家指定檢測機構按照統一的國家標準測定的市區、市郊、綜合三種工況的燃料消耗量。
2010年6月,國家出台了“節能產品惠民工程”節能汽車推廣政策,對購買節能型乘用車的消費者給予一定的財政補助。2011年,《中華人民共和國車船稅法》及《中華人民共和國車船稅法實施條例》頒布,自2012年1月1日起,對節約能源、使用新能源的汽車實施減征或免徵車船稅政策。
乘用車燃料消耗量管理的四個階段截至到2011年年底,我國已建立了較為完善的乘用車腳踏車產品節能管理體系。從汽車燃料消耗量檢測方法、限值、標識等國家標準到汽車燃料消耗量公示制度、汽車燃料消耗量抽樣核查制度,以及與燃料消耗量掛鈎的節能汽車推廣、節能與新能源汽車車船稅減免等財稅政策,都已建立並實施。
從2012年開始,我國實施乘用企業平均燃料消耗量(CAFC)目標值評價體系。
2013年3月,“五部門”發布了《乘用車企業平均燃料消耗量核算辦法》(工信部《公告》2013年第15號,以下簡稱“核算辦法”),該核算辦法的核心內容是建立乘用車企業平均燃料消耗量核算及通報制度,“核算辦法”對核算範圍、核算主體、核算方法及相關要求進行了規定,明確了乘用車企業平均燃料消耗量核算管理程式,並進一步明確了進口車燃料消耗量核算細則,鼓勵企業獨立核算。此外,由於並沒有禁止“核算主體之間的結轉額度轉讓”,被認為是在一定程度上為未來額度市場化的可能開了一個口子。工信部表示期望通過乘用車企業平均燃料消耗量管理,逐步降低我國乘用車產品平均燃料消耗量。可以說,“核算辦法”的頒布是建立和完善中國汽車油耗管理制度重要標誌之一。不過遺憾的是,該“辦法”並沒有提出明確的獎懲措施,僅表示“視情節嚴重,按國家有關法律、法規予以處理”——這被輿論解讀為“威懾力遠遠不夠”。
2013年5月7日,工信部發布了《關於加強乘用車企業平均燃料消耗量管理的通知》(簡稱《通知》),就《加強乘用車企業平均燃料消耗量管理》公開徵集意見。《通知》中進一步明確了對油耗超標車企的懲罰措施,而被業內人士認為,其嚴厲程度遠超預期 。
國外油耗控制體系
美國:1972年中東戰爭以後,石油禁運對美國石油供應壓力很大,1974年美國議會指令運輸部(DOT)和環保局(EPA)研究“對80年以後製造的新車輛頒布一個燃料經濟性改進標準的實際可能性”,1975年12月政府頒布了“能源政策和儲備法”,以後修訂為“機動車情報和成本節約法”(Motor Vehiele Information and Cost Saving Aet),該法律是制定汽車油耗法規的依據。
日本:日本從1973年開始採用10工況法測定油耗。從1975年開始,增設了11工況法,這兩種工況法主要適用於以汽油或液化石油氣為燃料。1995年12月日本汽車工業協會發表了《環境問題行動方法》,其中要求開發低油耗汽車,控制CO排放量,汽油轎車油耗在2000年達到規定目標,在2003年汽油貨車油耗也應達到規定目標值。
歐洲:歐洲共同體己形成統一的試驗規範,從1982年起執行,即聯合國歐洲經濟委員會(ECE)的15號法規(ECER 15),也是為排氣控制制訂的轉毅試驗台規範。該循環共進行4次,然後用碳平衡法計算油耗。歐洲各國均未立法強制降低油耗,有些國家通過自願方式,從1978年起降低油耗10%,其中德國汽車工業協會(VDA)已發表廠在2005年前將新車平均油耗與1990年相比降低25%的計畫。具體數值為在2005年達到每百公里油耗5.9L(ECE R51)。
世界主要已開發國家都非常重視節約能源的問題,控制油耗的法律和法規都已制定了幾十年的時間,特別是近幾年為了防止地球溫室效應,應控制CO的排放量,近幾年,各國又把目光轉向如何降低來自於汽車的CO排放量上,因此,降低汽車油耗的工作又成為世界汽車工業發展的重點之一 。
個人車輛油耗控制方法
除了國家政策對汽車生產廠商做能耗控制的強制規定外,廣大汽車用戶也需要從自身做起,做好力所能及的油耗控制行為。
駕駛操作
首先應保持合理的行車速度。所有汽車都有一個經濟時速,當在此時速下行駛時油耗最低,因此儘量保持在經濟時速。行駛時氣門儘量控制在80%左右,發動機控制在80%負荷下工作,但要根據不同行駛條件來靈活把握。在經濟時速下行駛,汽車要比高速行駛節油20%-25%,比低速時節油5%左右。行駛時應儘量避免突然加速或減速,這是由於突然加速比穩加速多耗三分之一汽油,所以要保持車速平穩。冷車啟動時注意對發動機預熱升溫,當溫度升至30-40度時在進行啟動,啟動後要輕踏油門,增檔應循序進行。在汽車行駛時,發動機溫度控制在85%-95%,正常的行車溫度也是節油的必要條件之一。溫度過高或過低都會導致油耗的增加。
駕車時應減少不必要的怠速。發動機怠速時由於轉速過低,混合氣形成條件較差,濃度過高,會增加油耗。因此,當汽車需要長時間停車時應當熄火。保持車內整潔,可以有效減小車重。汽車中不必要的物品應儘量移除,並及時清除底盤的雜物。儘量不在車頂放置物品,以免增大風阻,增加油耗 。
汽車保養
汽車在使用過程中,它的車況時刻發生著變化,它的性能也是不同的。因此經常對汽車進行檢查,能使汽車保持良好的狀態。汽車的技術狀況差、故障多,對油耗有著很大的影響。嚴格執行汽車保養規定是節油的必要條件。定期檢查氣缸的壓力。氣缸氣壓的大小能夠直接反映出配氣墊的密封性,以及活塞、活塞壞、擋油環的磨損狀況。氣缸各部件會隨著行駛里程數的增加而摩擦損耗,從而使燃燒條件變差,增加油耗。定期檢查氣缸壓力時,若發現氣壓低於20%時,應當及時進行修理或更換。定期更換空氣濾清器。目前市面上大多數汽車仍使用乾式濾清器,無法清洗。若空氣濾清器過髒,會阻擋空氣進入,減少進氣,從而使混合燃油氣加濃,增加汽車油耗。定期更換火花塞。若火花塞長時間使用而未按規定進行更換,則內部會產生積碳,其點火性會變得機器不穩定,並使油耗增加。對點火系統進行定期檢查。點火時間過遲,會導致燃燒時的最高壓力降低,使熱損失增加;而點火時間過早,會導致爆燃現象。兩者都會增加油耗,所以應儘量保證點火時刻的準確性。選擇合適的發動機機油。機油起著潤滑、清理等作用,所以合適的機油的種類和質量不僅能減少汽車零部件的損耗,並對節油有重要影響。如果溫度過低,機油粘度過大,會使發動機在啟動時消耗的功率增加;如果高溫時機油粘度過低,會導致發動機過熱,啟動時扭矩增加,油耗增高。因此使用高品質並且適量的機油對節油起著至關重要的作用。選擇合適的輪胎類型。不同的輪胎對於油耗影響不同。子午線輪胎可以減少油耗,而在不同的路況應選擇合適的輪胎。保持合理氣壓也十分重要,氣壓過低會使接觸面積增大,滾動阻力增加,油耗更為突出。而氣壓過高則有爆胎的危險 。

