簡介
水平井的產能評價是水平井最佳化設計的一項重要工作, 通過不同條件下的產能評價,為地質設計提供依據。不同條件下的產能評價方法包括: 穩態產能評價方法、擬穩態產能評價方法、不穩態產能評價方法和底水或氣頂錐進時臨界產量的計算方法。穩態產能評價方法用於水平井穩定生產階段的產能評價, 其中主要考慮了地層韻律性、污染係數、滲透率的各向異性、目前垂直井井網及水平井偏心距等因素的影響; 擬穩態產能評價適用於壓力波傳播到油藏邊界之後的水平井產能的評價; 不穩態產能評價主要用於預測產量隨時間的變化; 底水或氣頂錐進臨界產量的計算為生產提供了決策依據。
水平井產能預測概況
為準確預測水平井的產能,必須對沿水平井井筒壓力變化和流量的變化進行預測,本研究的目的就是尋找一種在不依靠井底流壓為常數的不合理假設條件下水平井產能預測的簡單方法。
對於水平井而言,最簡單的井模型是採取垂直井的處理方法,採用該方法處理水平井時流體的流動必須是徑向流。因此,井必須是完全射開,即井的長度和油藏厚度必須很大。
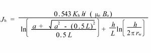
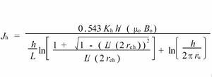
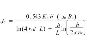
水平井的產量可以用下式計算:
水平井產能預測式中:
q :水平井產量;J:水平井生產指數;P:油層壓力;P:井底流動壓力。
國外水平井產能預測概況
第一個考慮水平井開發動態區別於直井的是Borisov,他在1964年提出了預測水平井產能的理論模型,其假設條件為:穩定流、單相、不可壓縮流體、各向同性的均質油藏,同時,不考慮地層傷害、井位於油層中心、泄油麵積為橢圓形。
1983年,Giger給出了預測水平井位於地層中心的產能預測公式,其假設條件為穩定流、單相、微可壓縮流體、各向同性的均質油藏、不考慮地層傷害、及泄油麵積為橢圓形。1984年,Giger、Reiss等又給出了預測各向異性油藏的產能預測公式,在該公式中,引入了等效滲透率的概念。
Joshi在1986年推導了水平井產能預測的公式,該公式考慮穩定流、單相、微可壓縮流體、各向異性的均質油藏、不考慮地層傷害,邊界和井筒壓力為常數,水平段距離頂部邊界距離已知。
1990年,Renard和Dupuy試圖推廣Joshi和Giger的井產能公式,其假設條件為單相、微可壓縮流體在各向異性均質油藏不考慮地層傷害的穩態流,該方程可用於圓形、橢圓形或矩形泄油形狀。
1996年,Elgaghad和Ossisanya等給出了一個基於複雜泄油麵積而不是簡單橢圓和矩形泄油麵積的產能預測公式。假設油藏可以考慮為由半圓或兩個矩形組成的棧系列。
國內水平井產能預測概況
國內西安石油學院的李璗等對水平井產能公式進行了細緻的研究。他們根據Giger和Joshi的假設,用保角變換方法重新推導了水平井的產量公式,發現了Joshi公式的不足,繼而進一步用等值滲流阻力法推導出了自己的在橢圓邊界和直線供油邊界條件下的水平井產能公式。
石油天然氣集團公司勘探開發研究院的竇宏恩也進行了相類似的研究。竇宏恩[52]還對目前廣泛使用的Chaperon臨界產量計算公式進行了分析,指出了其存在的問題,並進一步導出了一個底水油藏開採臨界產量計算的廣義預測公式。同時,他還以Joshi等的產能公式基礎上,經推導,得出了一個垂直平面在無限大地層水平段、長度為L的水平井產能公式。
清華大學的劉想平等人研究了水平井筒壓降對水平井向井流動態關係的影響,推導了射孔完井水平井的向井流動態關係。他們針對幾種常見的油藏類型,導出了水平井生產時單相原油三維穩態流動的壓力分布,並根據質量守恆原理和動量守恆定理進一步導出了一個水平井筒內壓降計算的新模型,同時,還考慮了沿程流入對井筒內壓降的影響,提出了把油層中的滲流與水平井筒內的流動耦合的數學模型及求解方法。
產能預測內容
水平井產能論證主要包括兩部分: 一是水平井初期產能的確定, 二是不同時間累積產油量的計算。
水平井初期產能的確定
(1) 與直井類比法。根據達西公式, 水平井初期產能與直井初期產能有如下關係:
水平井產能預測式中: J/J———水平井與直井的採油指數之比。
(2) 採油指數法。利用直井採油指數求取水平井採油指數: 根據試油試采資料, 求取直井採油指數, 利用水平井與直井採油指數比計算水平井採油指數。
公式法計算水平井採油指數:
①Borisov 公式:
水平井產能預測②Giger 公式:
水平井產能預測③Joshi 公式:
水平井產能預測綜合上述兩種方法確定水平井的採油指數, 根據確定的水平井生產壓差計算水平井產能。
(3) 水平井初期產能的確定。水平井投產後實際初期產能的確定僅僅依靠理論計算是不夠的, 必須考慮其他因素所產生的影響。
主要包括:
①鑽井、完井等作業過程對油層的傷害;
② K、K/ K 的不確定性;
③生產壓差的取值等。正是由於上述原因導致計算水平井初期產能與實際產能存在一定差異。統計勝利油區部分水平井預測產能與實際產能結果表明, 實際投產平均產能為計算產能的0 . 6 倍左右。因此, 確定水平井初期產能時將該係數( 0.6) 作為對影響水平井產能不確定因素的校正, 使得確定的結果更加符合實際情況。
水平井產量變化預測
水平井產量變化是累產油量( Np ) 和極限可采儲量( E )、初期產量( Q ) 及開採時間( t) 之間的函式關係, 是經濟評價的基礎參數。在計算不同時間水平井累積產油量之前, 必須計算水平井可采儲量。
(1) 水平井可采儲量計算。
根據容積法有:
水平井產能預測式中E主要根據經驗公式求取。
(2) 水平井產量變化計算。
採用Arps 的n = 0.5 的雙曲遞減關係:
水平井產能預測式中:
Q———水平井初期產能, t/ d;
N———水平井單井可采儲量, ×10t。

