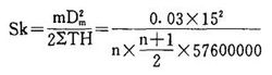
研究表明,混凝土的滲水高度Dm與其所受壓力水頭H及施壓時間T的乘積(TH)的平方根成正比。

混凝土抗滲標號與滲透係數的關係數:
混凝土抗滲標號與滲透係數的關係數抗滲性是混凝土的一項重要指標,我們在抗滲混凝土施工前需要對混凝土進行抗滲試驗。 這么長時間的試驗,如果發生停電現象,會給試驗帶來影響,使試驗無法繼續進行,影響對抗滲性能的評估。 混凝土抗滲標號與滲透係數的關係數:混凝土抗滲標號與滲透係數的關係數

混凝土抗滲標號與滲透係數的關係數混凝土,簡稱為“砼(tóng)”:是指由膠凝材料將骨料膠結成整體的工程複合材料的統稱。通常講的混凝土一詞是指用水泥作膠凝材料,砂、石作骨料;與水(可含外...
歷史 分類 原材料 製備 腐蝕性可用以修建水工建築物的各種材料的總稱。水工建築材料隨著社會生產力的發展而逐步發展。中國古代早有“築土御水”之說。戰國時代水利事業獲得發展,例如在這一時期...
水工建築材料 正文 配圖 相關連線抗滲標號低於設計標準的處理三 冷縫蜂窩麻面滲漏處理第四節 接縫滲漏處理... 推移質對水工混凝土的沖磨破壞一 推移質沖磨破壞的特點二 過流面抗沖耐磨...推移質沖磨能力評價第三節 懸移質泥沙對水工混凝土的磨損破壞一 磨損特性和抗...
作品目錄3、一次可作試件數:6個 2、把裝封好試件的試模可靠地裝固在儀器上。 6、當六個試件的端面有3個呈現壓力水滲透出時,即記下此時的水壓,作為試驗的壓力值。
適用範圍 主要技術參數 安裝與使用 保養與維護 操作規程混凝土,簡稱為"砼(tóng)":是指由膠凝材料將集料膠結成整體的工程複合材料的統稱。通常講的混凝土一詞是指用水泥作膠凝材料,砂、石作集料;與水(可含外...
定義 特點 發展歷史 功能作用 分類混凝土施工按照設計圖紙的要求,進行鋼筋製作綁紮、模板擺放和固定、用符合質量要求的原材料、按規定的配比進行拌制、運輸、澆築、養護等,同時對各個環節進行全過...
混凝土施工 正文 配圖 相關連線耐鹼混凝土是一種能耐強鹼性介質腐蝕的混凝土。混凝土是指由膠凝材料將骨料膠結成整體的工程複合材料的統稱。
特性 混凝土 原材料 混凝土分類微膨脹混凝土是指在普通的混凝土中添加一定的膨脹劑,使混凝土在水化期間能夠依靠膨脹劑的作用而發生一定的膨脹,從而彌補了混凝土的收縮,達到防治混凝土裂縫,提...
簡介 微膨脹混凝土機理 主要用途《水工建築物的運行與維護》可供從事水利工程特別是中小型水利樞紐工程運行、維護、檢測、維修的技術人員和管理人員查閱、使用,也可供大中專院校在校師生學習、參考。
內容簡介 目錄 前言 精彩書摘