基本信息
中文名稱:氯化烯丙基鈀(II)二聚物
英文名稱:Allylpalladium(II) Chloride Dimer
英文別名:Di-mu-chlorobis[(eta-allyl)palladium(II)]
CAS號:12012-95-2
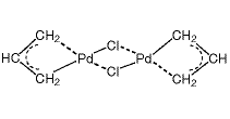
分子式:C6H10Cl2Pd2
分子量:365.89
純度:>97.0%
等級:EP
氯化烯丙基鈀(II)二聚物MDL號:MFCD00044874

氯化烯丙基鈀(II)二聚物是一種化學物質,分子式是C6H10Cl2Pd2。
基本信息
中文名稱:氯化烯丙基鈀(II)二聚物
英文名稱:Allylpalladium(II) Chloride Dimer
英文別名:Di-mu-chlorobis[(eta-allyl)palladium(II)]
CAS號:12012-95-2
分子式:C6H10Cl2Pd2
分子量:365.89
純度:>97.0%
等級:EP
氯化烯丙基鈀(II)二聚物MDL號:MFCD00044874
氯化烯丙基鈀(II)二聚物是一個化合物,其化學式為 (η3-C3H5)2Pd2Cl2。此一黃色且空氣穩定的化合物是有機合成中的一個重要的催化劑。
合成與反應 簡介氯化銅(cupric chloride),無機化合物,化學式CuCl2。為綠色至藍色粉末或斜方雙錐體結晶。在濕空氣中潮解,在乾燥空氣中風化。在70至20...
理化特性 製備方法 套用領域 安全措施 毒理資料·4H2O 鈀 氯化鈀 - PdCl2 氯化烯丙基鈀二聚物,氯化烯丙基鈀二聚體,氯化烯丙基鈀(II)二聚體 - (η 硝酸鈀 - Pd(NO3)2 氧化...(II),二氯化鉑 - PtCl2 氯化鉑(IV),四氯化鉑...
錒 氨 銨 鈀 鋇反應,如π-烯丙基鈀配合物在氯化銅作用下發生氧化斷裂反應,釋放出氯化鈀,同時得到烯丙基氯化合物(式14)。這種氯化銅對鈀配合物的作用可用於實現烯丙基化合物的二聚反應,如1,5-二亞甲基環辛烷在氯化鈀和氯化銅作用下發生關...
理化特性 製備方法 套用領域 安全措施 毒理資料