正弦定理
概述
a/sinA=b/sinB=c/sinC=2R
正弦定理 (Sine theorem)
(1)已知三角形的兩角與一邊,解三角形
(2)已知三角形的兩邊和其中一邊所對的角,解三角形
(3)運用a:b:c=sinA:sinB:sinC解決角之間的轉換關係
直角三角形的一個銳角的對邊與斜邊的比叫做這個角的正弦。
證明
步驟1
在銳角△ABC中,設BC=a,AC=b,AB=c。作CH⊥AB垂足為點H
CH=a·sinB
CH=b·sinA
∴a·sinB=b·sinA
得到
a/sinA=b/sinB
餘弦同理,在△ABC中,b/sinB=c/sinC
步驟2.
證明a/sinA=b/sinB=c/sinC=2R:
如圖,任意三角形ABC,作ABC的外接圓O.
作直徑BD交⊙O於D.
連線DA.
因為在同圓或等圓中直徑所對的圓周角是直角,所以∠DAB=90度
因為在同圓或等圓中同弧所對的圓周角相等,所以∠D等於∠C.
所以c/sinC=c/sinD=BD=2R
類似可證其餘兩個等式。
餘弦定理
概述
餘弦定理 是揭示三角形邊角關係的重要定理,直接運用它可解決一類已知三角形兩邊及夾角求第三邊或者是已知三個邊求角的問題,若對餘弦定理加以變形並適當移於其它知識,則使用起來更為方便、靈活。
直角三角形的一個銳角的鄰邊和斜邊的比值叫這個銳角的餘弦值
性質
對於任意三角形,任何一邊的平方等於其他兩邊平方的和減去這兩邊與它們夾角的餘弦的兩倍積,若三邊為a,b,c 三角為A,B,C ,則滿足性質——
正餘弦定理
正餘弦定理
正餘弦定理
正餘弦定理
正餘弦定理
正餘弦定理S△ABC=1/2absinC
S△ABC=1/2bcsinA
S△ABC=1/2acsinB
(物理力學方面的平行四邊形定則中也會用到)
第一餘弦定理(任意三角形射影定理)
設△ABC的三邊是a、b、c,它們所對的角分別是A、B、C,則有
a=b·cos C+c·cos B, b=c·cos A+a·cos C, c=a·cos B+b·cos A。
證明
平面向量證法
∵如圖,有 a+ b= c (平行四邊形定則:兩個鄰邊之間的對角線代表兩個鄰邊大小)
∴ c· c=( a+ b)·( a+ b)
∴ c²= a· a+2 a· b+ b· b∴ c²= a²+ b²+2| a|| b| Cos(π-θ)
(以上粗體字元表示向量)
又∵ Cos(π-θ)=-Cos θ
正餘弦定理∴c²=a²+b²-2|a||b| Cosθ(注意:這裡用到了三角函式公式)再拆開,得c²=a²+b²-2ab co sC
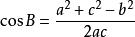
即 cosC=(a2+b2-c2)/2*a*b
同理可證其他,而下面的 c osC=(c2-b2-a2)/2ab就是將 c osC移到左邊表示一下。
平面幾何證法
在任意△ABC中
做AD⊥BC.
∠C所對的邊為c,∠B所對的邊為b,∠A所對的邊為a
則有BD=cosB*c,AD=sinB*c,DC=BC-BD=a-cosB*c
根據勾股定理可得:
AC²=AD²+DC²
b²=(sinB c)²+(a-cosB c)²
b²=(sinB*c)²+a²-2ac cosB+(cosB)²c²
b²=(sin²B+cos²B) c²-2ac cosB+a²
b²=c²+a²-2ac cosB
cosB=(c²+a ²-b²)/2ac

