定理
檢比法設 為正項級數,其中每一項皆為非 0 的實數或複數,如果
檢比法•當ρ<1時級數收斂;
•當ρ>1時級數發散;
•當ρ=1時級數可能收斂也可能發散。
例子
收斂
考慮級數
檢比法
檢比法因此該級數收斂。
發散
考慮級數
檢比法
檢比法因此該級數發散。
不能確定
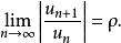
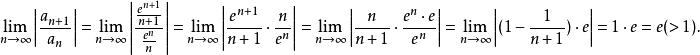
級數
檢比法發散,但
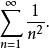
檢比法而級數
檢比法收斂,但
檢比法參見
•根值審斂法
•比較審斂法
檢比法是判別級數斂散性的一種方法,又稱為達朗貝爾判別法(D'Alembert's test)。
檢比法設 為正項級數,其中每一項皆為非 0 的實數或複數,如果
檢比法•當ρ<1時級數收斂;
•當ρ>1時級數發散;
•當ρ=1時級數可能收斂也可能發散。
考慮級數
檢比法
檢比法因此該級數收斂。
考慮級數
檢比法
檢比法因此該級數發散。
級數
檢比法發散,但
檢比法而級數
檢比法收斂,但
檢比法•根值審斂法
•比較審斂法
法檢就是報關單上面的監管條件是A(進口)或B(出口)的貨物,在報關的時候必須提供商檢局的通關單,也就是法定檢驗貨物。 如果沒有A或B,就不算是法定檢驗貨...
法檢定義 法檢條件 法檢程式拼音: 解釋: 1.宋尚書省負責檢查執法之事的部門。
《檢法男女》是由閔智恩、元英實編劇,由盧道哲執導, 鄭在詠、鄭柔美、李伊庚、朴恩碩主演的犯罪、懸疑劇,於2018年5月14日在韓國首播。 該劇講述完美主...
劇情簡介 演員表又稱檢見取法,室町時代以來的年貢徵收法規。 其規定根據農作物的收成確定該年的年貢稅率。 但遇到大災荒時,任使用該法。
王檢法(1969.9-)江西省贛縣南塘鎮船埠村人,中共黨員。
檢影驗光全稱為視網膜檢影法(retinoscopy,skiascopy)是一種客觀驗光方法,檢影是一種他覺法測量眼屈光狀態的方法。需要長期訓練,才能掌握真諦。
正常值 臨床意義 注意事項 檢查過程 相關疾病主檢法醫師,是法醫專業職稱,相當於臨床專業的主治醫師。
《檢法男女2》是韓國MBC電視台出品的電視劇 ,該劇是2018年韓劇《檢法男女》的續集,由盧道哲執導,鄭在詠、鄭柔美、吳萬石、姜承賢主演...和調查加害者的新檢察官之間非常特別的合作的故事 。中文名: 檢法男女...
