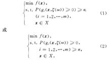
機率約束規劃機率約束規}!J (probabilistic constrained pro-gramming)約束條件中含有隨機變數的隨機規劃問題.如果數學規劃問題的約束條件中含有隨機變數(參見“數學規劃”),而決策要在觀察到隨機變數的實現之前做出,但只要求約束條件得到滿足的機率不小於某一指定數,這種問題稱為機率約束規劃.它的一般形式為
其中X為與隨機變數無關的集合.(1>中的機率約束稱為單個機率約束,(2)中的機率約束稱為聯合機率約束.(1}和(2}也是非線性規劃問題. 1958年,查恩斯(Charnes, A.)等人在研究石油加工廠庫存容量設計問題時,建議在滿足外界需求(隨機)的機率不低於某一水平下進行最優設計,導致機率約束規 劃的研究.
