舵力轉船力矩及極限舵角
極限舵角舵是舵設備中承受水動力以產生轉船力矩的構件,除老式或小型船舶外,現在大部分海船舵面的形狀均設計為流線型。如果不考慮外界的干擾和自身偏轉的效應,船在正舵航行情況下,應該做直進運動,即船相對水運動時,水流對稱地流過舵葉兩側,兩側面所受的水動力相等,不產生舵力,也就沒有轉船力矩,船也不會產生偏轉。當舵向任一側轉出一舵角 時,水流的對稱性被破壞,舵葉兩側的流場隨之發生改變,相對水流速度產生差異,迎水流一面的流速比背水流一面的流速慢,因而,迎水流一面的壓力增加而舵背面的壓力降低,參見圖1流線型舵的受力分析。
圖1
極限舵角
極限舵角
極限舵角
極限舵角
極限舵角
極限舵角根據流體力學中的機翼理論原理,當施右 舵角後(如圖1所示),流過舵葉兩面的水流速度發生變化,左側流速加快,右側流速減慢,從而舵葉兩側間產生垂直於舵葉的壓力差 ,此時水流對舵葉產生的摩擦阻力為r, 與r的合力即構成為舵力R。由於阻力 r 相對壓力 過小,故R與 ,相差無幾。R的大小與舵角 、舵葉面積S、舵速v和舵斷面積形狀等因素有關。將舵力R按船舶首尾方向與其垂直方向分解,則可得起橫向作用的升力A與對航進起阻力作用的阻力W。
極限舵角
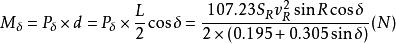
極限舵角使船產生轉頭的龍就是舵壓力 。下面僅給出喬塞爾(Joessel)普通舵實驗時 的近似計算式:
極限舵角在計算轉船力矩時,可以近似地認為舵力作用中心位於尾垂線處,則力臂為力對重心的轉船力矩為:
極限舵角式中:L——船長(m);
S——舵葉面積(㎡);
v——舵速(m/s);
d——轉船力臂(m);
極限舵角——舵角(°);
極限舵角
極限舵角
極限舵角
極限舵角
極限舵角
極限舵角當船長L、舵葉面積S、舵速v一定時,轉船力矩隨舵角而變。對於一般的海船來說,舵角在32°~35°之間時,可達到最大值。若再增大S時,反而下降,故除了特種舵外,一般把等於32°~35°稱為使用極限舵角。船上對此使用了止舵器或限位器,使舵角不超過35°。
內河船最大舵角
內河船舶的展弦比約等於1。根據λ=1的單獨舵的試驗表明,舵的臨界舵角為30°~35°。舵裝在船上後,受到艉型、螺旋槳尾流和操舵轉船時所存在的漂角的影響,舵與水流的實際沖角將比舵角有所減小。實船操舵試驗表明,當舵角增至40°以上時,還沒有感覺到舵效突然下降,即未到達臨界舵角。所以內河小船的最大舵角可以限制為40°~45°,但某些內河小船的最大舵角也有定為35°的。 《長江水系小型鋼船建造規範》規定:舵的轉動角度不得超過45°,對航行急流航段的船舶不得超過35°,並應設定舵角指示器和限制器。海船的最大舵角通常定32°~35°。
舵角限位器
1.航行中船舶使用的最大有效舵角,一般流線形舵為32°,平板舵為35°。
2.為了防止在操舵時實際舵角太大而超過有效舵角,在操舵裝置的有關部位設定舵角限位器。舵角限位器有機械、電動等多種類型、一機械舵角限位器可以設在舵葉上或下舵桿與舵柱的上部。
3.還有在舵柄兩側極限舵角位置處裝設角鐵架。當舵轉到滿舵時,舵柄被角鐵架擋住,不能繼續轉動。電動舵角限位器為裝於舵倆兩側極限位置的開關。當舵轉到滿舵時,舵柄與其相連的裝置使開關處於斷路位置,與開關串聯的舵用電機即停止向某一舷繼續轉動;當舵機電機反轉時,舵柄或與其相連的裝置和開關脫離接觸,開關即在彈簧的作用下回到通路位置。

