1. 描述
有效地球半徑
有效地球半徑
有效地球半徑
有效地球半徑由於大氣影響,使得超短波在傳播路徑上發生彎曲。而一般情況下,射線多數是微微向下彎曲傳播的,這就使得雷達在探測高度為 h的目標物的最大探測距離加大 。射線的曲線傳播給實際計算、分析帶來了不便,要解決這個困難,往往把超短波的傳播路徑畫成直線,這樣就需要對大氣折射的影響進行訂正。構想地球半徑 加大到某一數值 ,使得 為半徑的球面上沿直線傳播的超短波的最大探測距離和真實地球表面上的沿射曲線軌道傳播的最大探測距離相同,則 就稱為有效地球半徑。
2.有效地球半徑的表達式
由於不同高度折射指數不同,雷達波束在大氣中發生折射是必然的,為了研究波束的彎曲情況,根據曲率的定義和折射定律可得到曲率 K與折射指數隨高度的變化率之間的關係,即
有效地球半徑
有效地球半徑
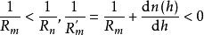
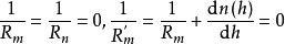
有效地球半徑式中 n(h)為高度 h上的大氣折射指數,一般為1.0003,可近似為1,當天線仰角為0°時, =90°, 。因此上式可近似為
有效地球半徑
有效地球半徑由於地球本身近似球體,則地球本身的曲率 為
有效地球半徑
有效地球半徑雷達波束傳播路徑相對於地球表面的曲率 為
有效地球半徑
有效地球半徑
有效地球半徑
有效地球半徑同理若用 表示真實射線軌道的曲率半徑,用 表示等效條件下射線的曲率半徑,則等效條件下的相對曲率 為
有效地球半徑
有效地球半徑
有效地球半徑
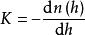
有效地球半徑等效條件下是把射線看作沿直線傳播的,所以 → ,因此等效的相對曲率為 ,則
有效地球半徑
有效地球半徑故有效地球半徑為
3.不同折射條件下的有效地球半徑
(1)標準大氣折射
有效地球半徑標準大氣折射代表中緯度對流層大氣折射的一般情況。在標準大氣情況下, ,則標準大氣情況下的有效地球半徑為
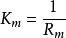
有效地球半徑(2)臨界折射
射線相對於地球表面的相對曲率等於零時,即射線的絕對曲率與地球表面的絕對曲率相同時的折射稱為臨界折射,按定義有
有效地球半徑(3)超折射
超短波射線的絕對曲率大於地球表面的絕對曲率時的折射稱為超折射,按定義有
有效地球半徑(4)負折射
當射線傳播路徑的絕對曲率小於零時的折射稱為負折射,此時
有效地球半徑(5)零折射
射線傳播路徑絕對曲率等於零的折射稱為零折射,此時
有效地球半徑圖1 描述了五種折射的射線傳播路徑:
1.標準大氣折射 2.臨界折射 3.超折射 4.負折射 5.零折射
圖1 五種折射的射線傳播路徑