時空觀
經典力學
在經典力學體系中,時間均勻流逝,和物體的運動狀態無關。所謂“時間對每個人都是平等的”,就是指經典力學的時空觀。這和日常生活的經驗一致,但並不正確。
相對論
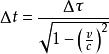
時間都去哪兒了[科學界未解之謎]根據相對論,物體的速度越快,時間越慢。因此,接近光速的粒子的壽命會延長。這種現象只有接近光速才會明顯,對於一般低速運動的物體,這種現象可以忽略。公式為:. 其中Δτ為與某參考系相對靜止的觀察者測得的時間間(s),Δt為另外一個參考系的觀察者測得的時間間隔(s),v為兩參考系的相對速度(m/s),c為光速(m/s)。
時間都去哪兒了[科學界未解之謎]此外,引力也會放慢時間。因為衛星處於失重狀態,所以衛星的時間每天會比地面快40微秒左右。在地球表面,海拔每增加1米,時間加快。
在黑洞表面,引力的強度足以使時間停止。而在及靠近黑洞表面的位置,時間過得非常慢,並導致“引力紅移”。所謂“天上一日,地上一年”,就是指貼近黑洞表面的位置。
不過,一般情況下,上述兩種現象極為微弱,可以忽略。經典力學是相對論在低速、弱引力條件(一般情況)下的近似。
時間箭頭
物理學在微觀的層次幾乎完全是時間對稱的,這意味著物理學定律在時間流逝的方向倒轉之後仍然保持為真。但是在巨觀層次卻顯得並不是那么回事:時間存在著明顯的方向。時間箭頭(又稱時間之箭)就是用於描述這種不對稱的現象,這是“時間都去哪兒了”這個問題的核心。
熱力學時間箭頭
熱力學時間箭頭來自熱力學第二定律,這一定律認為一個孤立系統的熵只能隨著時間流逝不斷增加,而不會減少。熵被認為是無序的量度,因此第二定律隱含著一種由孤立系統的有序度變化所指定的時間方向(也就是說,隨著時間流逝,系統總是越來越無序)。換句話說,孤立系統在未來將越來越無序。
儘管任何孤立系統隨時間流逝越來越無序,系統的各部分卻存在著關聯。一個簡單的例子是玻璃杯被打碎的過程:最終狀態(碎了的杯子)比初始狀態(完整的杯子)更無序,但在杯子的各部分之間存在關聯——兩塊相鄰碎片的邊緣可以準確吻合。於是,一個孤立系統在過去是有序的且其各部分是無關的,而將來則是無序的但各部分是相關的。
第二定律並不是精確的,任何系統都可能通過漲落到達更低熵的狀態(參見龐加萊各態遍歷定理)。然而,第二定律描述的是系統向高熵狀態轉化的整體趨勢。
除了弱力箭頭,這個時間箭頭似乎與其他所有的時間箭頭都有關,甚至也許是產生其他箭頭的原因。
宇宙學時間箭頭
宇宙學時間箭頭指向宇宙膨脹的方向。它可能跟熱力學箭頭有關,這個箭頭指向一個自由能耗盡後宇宙熱寂或者高寒的結局。一種另類的觀點是,也許這個箭頭會在引力的作用下逆轉成大擠壓,並在反覆的膨脹-擠壓中進化到適合人類的出現(參見人擇原理)。
如果這個箭頭與其他時間箭頭有關,那么未來的方向取決於整個宇宙是否越來越大。也就是說,宇宙正在膨脹而不是收縮,這只是一個定義的問題。
輻射時間箭頭
波,包括無線電波以及聲波或甚至扔到水中的石頭激發的水波,都從它們的源頭處向四周擴散,儘管波動方程除了這種形式的擴散波之外,也允許從四周聚攏到中間的收斂波。在很仔細地調整實驗條件後,可以扭轉這個時間箭頭產生收斂波,因此這個時間箭頭可能源於熱力學箭頭,因為要產生收斂波,需要比產生擴散波更有序地排列波源。因此,自發產生一個收斂波的可能性要比產生一個擴散波小得多。實際上,一個擴散波的傳播往往會增加熵,而收斂波則會減少熵,而後者是違反熱力學第二定律的。
因果時間箭頭
原因一般被認為發生在結果之前。我們可以控制未來,但無法控制過去。有人認為這並沒有給出一個明確的箭頭。如果熱力學箭頭扭轉,那么我們會覺得地上的碎瓷片是原因,而跳進我們手掌的盤子是結果了。事實上,根據第二定律,初始狀態(更有序而更少自相關)比最終狀態總是要簡單些,因此把開始的情況看成兩件事情中的原因部分總是容易些。
心理學時間箭頭也與因果時間箭頭有關,因為我們總是記得過去同時能夠影響將來(而不是相反),因此我們把過去看成是將來的原因。
弱力時間箭頭
已經證實某些由於弱核力引起的亞原子反應違反了宇稱對稱性,但這種情況很少發生。根據CPT定理,這意味著它們同時是時間不可逆的,由此產生一個時間箭頭。這類過程可能是質子在早期宇宙產生的原因。
沒有任何機制能說明這個箭頭和其他箭頭有關,如果它反向的話,使我們的宇宙有所區別的就只是那個世界充滿了反質子而不是質子。更準確地說,對質子和反質子的定義將剛好相反。
宇稱的破壞是非常輕微的,這個箭頭只是勉勉強強地指向某一方向。這將它與其他很容易觀察到的時間箭頭區分開來。
量子時間箭頭
量子演化由薛丁格方程和波函式坍縮描述,前者是時間對稱的,而後者卻否。波函式坍縮的具體機制還不清楚,因此也不知道這個箭頭與其他的有何關係。儘管在微觀層次,坍縮似乎不會增加或者減少熵,有人相信其中有一種與熱力學箭頭有關的巨觀原理在起作用。根據量子去相干的理論,如果假定波函式坍縮只是表面現象,量子力學箭頭就是熱力學箭頭的一個自然結果。
心理學時間箭頭
這是人類的經驗中最顯著的箭頭:我們覺得自己似乎正從過去走向未來;我們覺察到並記得過去而不是將來(儘管兩者有時候被認為只是錯覺)。可是物理學的時間箭頭如何產生這種知覺還不清楚,因為意識的運作太過複雜,時至今日我們仍只有淺薄的了解。也許因果箭頭影響了我們對原因的學習探求過程,從而形成這種知覺。
也有人認為時間箭頭是在人腦的知覺進化過程中受到熱力學第二定律影響的結果,因此心理學箭頭源自熱力學。為了記住事情,我們的頭腦會從一個無序狀態轉變到一個更有序的狀態,或者從一個有序狀態變成另一個同樣有序的狀態。為了確保新狀態的正確,必須消耗能量,因此便增加了宇宙其餘部分的無序程度。這個無序度上升的程度總是比我們頭腦的有序度增加的程度大,因此我們就從宇宙的無序度增加過程中記住了事情,我們記住的事情也就總是在過去。
讓我們進一步說明心理學箭頭和熱力學箭頭之間的關係,以便理解。前面提到熱力學第二定律指出在系統不同部分之間的關聯會在將來的方向上逐漸增加(而不是向過去的方向)。既然記憶就是我們的腦細胞(或者計算機中的二進制數位)和外部世界的聯繫,記憶為何應該隨著時間流逝(向著將來方向)增多而不是減少,原因就很明顯了。此外,我們的行為可能影響將來而不是過去,是因為影響外部世界意味著在我們自己(我們的身體或者腦袋)和外部世界之間建立關聯。
不可逆性示例
試考慮一個巨大的容器充滿了兩種不同的液體,例如一邊是一種染料而另一邊是水。如果沒有東西在中間分隔這兩種液體,其分子的布朗運動會導致它們隨著時間推移開始混合在一起。然而,當它們完全混合之後,你不能期待染料和水能自動重新分開。
現在我們重複上面的實驗,但這次我們用一個非常小的、只能容納幾個分子(大概10個)的容器。給定一個相對較短的時間,人們可以想像那些分子會有機會重新分離,所有的染料分子在一邊而水分子在另一邊。正式敘述請參見波動定理。
對於大點的容器,不能自動分離只是因為這太不可能發生了,甚至耗盡整個宇宙的壽命也不夠。這些液體開始於一個高有序度的狀態,其熵(有時候這個字定義成“無序”)隨時間增加。
如果從某種較早期的混合狀態開始觀察較大的容器,可能發現它只是部分混合。有足夠的理由認為,如果沒有外部的介入,這些液體目前達到這個狀態是因為過去它更為有序,那時候它的分離度更大,並且在將來則更無序,混合度更高。
相關研究
塊狀宇宙理論
時間都去哪兒了[科學界未解之謎]古語常言,時間如同奔騰的河流,而我們就像順流而下的船隻一般,不停向前奔去。然而,這句話可能並不正確。
科學家最近提出了一種新理論,認為時間並非向前行進,相反,時間中存在的一切都是永存的。根據這種理論,如果我們能設法“俯瞰”宇宙的話,我們便能看見時間向四面八方伸展開去,就像我們眼下所見的空間一樣。
這一新奇的理論是由麻省理工學院的一位哲學副教授布拉德福德·思科博士(Dr Bradford Skow)提出的。他在其新書《Objective Becoming》中對一些前人用來解釋時間的理論進行了新的探討。“如果你讓別人描述一下時間流逝的方式,他們通常都會將其比喻為一條河流,我們就像河面上的船隻,不斷向前行進。”
此外還有一種理論,認為“現在”就像一盞由過去轉移到未來的“聚光燈”,而我們就身處於這盞聚光燈之中,和它一同前進。然而,思科博士表示:“除非有誰能為此提出有力的證明,否則我是不願相信這種理論的。”他本人更認同一種名為“塊狀宇宙”的理論。這種理論認為,過去、現在和未來都是宇宙中的固有存在。
思科博士表示,他認為過去發生的事件並不會隨著時間流逝而消逝,而是分別存在於同一時空的不同部分之中。“塊狀宇宙理論是說,你散布在時間之中,有點類似於你散布在空間之中那樣。”
“我們並非待在固定的時間內不動。”相反,他稱我們正處於一種名為“暫時分散”的狀態。他認為,我們穿越時空的方式絕不像聚光燈,並且無論是昨天、上周、還是數年之前所經歷的事情,都完全是真實存在的。但他還說,穿梭於不同時間的時間旅行是不可能的,因為我們都身處於時空的不同部分。
量子漲落
一個物理學家國際團隊最近測出了一個微觀量子系統的無序性,即所謂的“熵”(entropy)。他們希望這能幫助我們搞清楚“時間箭頭”(the arrow of time)的來源,即時間為何總是從過去流向未來。在實驗中,他們用一個振盪的磁場不停翻轉碳原子的自鏇,並將時間箭頭的產生歸結於兩個不同原子自鏇態之間的量子漲落。
他們希望這能幫助我們搞清楚“時間箭頭”(the arrow of time)的來源,即時間為何總是從過去流向未來。
時間都去哪兒了[科學界未解之謎]“時間是有方向的,這就是為什麼我們記得昨天發生了什麼,卻不知道明天會發生什麼。”團隊成員之一,在巴西ABC聯邦大學研究量子信息的物理學家Roberto Serra說。他認為,從最根本的層面上講,時間的不對稱性與量子漲落有關。
在日常世界裡,我們通常都把時間箭頭的存在看做是理所當然的事。我們會看到雞蛋被打碎,但不會看到蛋清、蛋黃和蛋殼重新聚合到一起形成完整的蛋。雖然在我們看來,自然定律顯然是不可逆的,但物理學卻沒有任何機制會阻止這樣的事情發生。只看動力學方程的話,雞蛋碎掉的過程完全是可逆的。不僅完整的雞蛋能被打碎,碎了的雞蛋也能重新合上。
然而,熵(entropy)這個概念給我們提供了一扇了解時間箭頭的視窗。大多數雞蛋看起來都一樣,但打碎的雞蛋可以呈現出多種多樣的形狀:它可以是被一下敲開並攪拌均勻的,也可以是碎在地上、濺得到處都是,而正是因為無序態的數目遠多於有序態,系統才更容易向無序態發展。
這種從機率角度進行的推理就是熱力學第二定律的核心,它認為封閉系統的熵永遠是隨著時間增加的。根據第二定律,時間不可能倒回過去,因為這樣會導致熵減少。對於由大量互相作用的粒子所組成的複雜系統,如雞蛋而言,這個論證很有道理,但對於只包含一個粒子的系統呢?
Serra和同事通過測量液態三氯甲烷樣本中全體碳13原子的熵,深入探索了這一含混不清的領域。儘管樣品包含了約1萬億個三氯甲烷分子,但其分子具有不發生相互作用的量子特性,這意味著相當於在同一個碳原子身上重複了很多次實驗。
Serra與同事們給樣品加了一個振盪的外磁場,它會不停地翻轉碳原子的自鏇態,即在向上和向下之間來迴轉換。研究人員慢慢提高磁場的振盪速度以提高自鏇翻轉的頻率,隨後又慢慢降到原來的值。
如果系統是可逆的,那么到最後碳原子自鏇態的分布就會與初始情況相同。然而,Serra和同事們通過核磁共振和量子態斷層攝影術發現最終碳原子自鏇態的無序性比初始狀況增加了。由於這個系統是量子性的,這就等價於單個碳原子的熵增加了。
研究者表示,單個原子的熵之所以增加,是因為它們的自鏇被迫翻轉的速度過快。由於無法跟上外磁場的振盪速度,原子只能開始隨機漲落,就像舞蹈初學者跟不上快節奏的音樂一樣。“跳舞的時候,慢節奏的音樂總是比快節奏的音樂簡單一些。”Serra說。
在美國德克薩斯大學奧斯汀分校同樣研究量子系統不可逆性的實驗物理學家Mark Raizen說,這個研究組的確觀察到了量子系統的時間箭頭。但他也強調,他們並沒有觀察到時間箭頭是如何“產生”的。“這一研究並沒有讓我們完全理解時間箭頭,還有許多問題有待解決。”他說。
這些問題中的一個,就是時間箭頭與量子糾纏之間有何關係。量子糾纏是指兩個粒子之間的即時相互關聯,甚至在兩個粒子相隔距離遙遠的時候也依然存在。這一概念誕生已經將近三十年,最近熱度又有所增長。然而,時間箭頭與量子糾纏之間的關聯與熵的增加關係不大,更多的是與量子信息不可阻擋的擴散有關。
不過,Serra相信通過更好地駕馭量子糾纏,可以在微觀系統中實現時間箭頭的逆轉。“我們正在研究此事,”他說,“在下一代的量子熱力學實驗中,我們或許就能一探究竟了。”
時間流逝的真實性
時間都去哪兒了[科學界未解之謎]時間到底是什麼呢?這個問題一直以來似乎是物理學家需要解決的課題,但是來自杜克大學的神經系統科學家沃倫·梅與理論物理學家斯莫林就這一問題進行了討論,時間到底是真實存在還是一種終極幻想?科學家認為我們現在的經歷是真實存在,並不是幻覺,斯莫林與大多數理論物理學家一樣,都在思考主觀與虛幻世界之間的區別,而根據愛因斯坦的廣義相對論,時間只是一個時空的維度,事件沿著時間箭頭的方向發展。
隨著時間的推移,斯莫林發現不僅時間是真實的,對這個概念的理解有助於發現宇宙規律的關鍵線索,如果宇宙定律存在於時間之外,那么就會變得非常莫名其妙,宇宙定律與時間之間似乎存在更深的關聯,定律需要時間這一維度,就需要進行一些改變,定律必須接受時間維度,才能在其中產生效果。但是這個理論存在“困境”,比如有科學家認為如果宇宙定律隨著時間發生改變,那么就需要更“大”的定律來規範時間與定律之間的關係,那么這個大定律明顯處於時間的框架之外。
斯莫林認為21世紀的宇宙學方向需要通過正確的途徑和方式來解決這個“困境”,對此神經系統專家沃倫·梅認為這個問題需要從人類意識上考慮,有觀點認為時間是一種錯覺,是一種觀念上形成的事物。如果將來已經在宇宙定律框架下被“寫”好,那么人類最為寶貴的東西就是隨著時間而不斷延續的幻覺。
![時間都去哪兒了[科學界未解之謎] 時間都去哪兒了[科學界未解之謎]](/img/d/029/nBnauM3X2UTN0QjM0cDM3IDN0UTMyITNykTO0EDMwAjMwUzL3AzLxEzLt92YucmbvRWdo5Cd0FmLzE2LvoDc0RHa.jpg)
