計算方法
方差公式若x,x,x......x的平均數為m則方差
例1 兩人的5次測驗成績如下:
X: 50,100,100,60,50 E(X )=72;
Y: 73, 70, 75,72,70 E(Y )=72。
平均成績相同,但X 不穩定,對平均值的偏離大。方差描述隨機變數對於數學期望的偏離程度。
單個偏離是消除符號影響方差即偏離平方的均值,記為D(X ):
直接計算公式分離散型和連續型,具體為:這裡 是一個數。推導另一種計算公式
得到:“方差等於平方的均值減去均值的平方”。
其中,分別為離散型和連續型的計算公式。 稱為標準差或均方差,方差描述波動
性質
1.設C為常數,則D(C) = 0(常數無波動);
2. D(CX )=C2 D(X ) (常數平方提取);
證:特別地 D(-X ) = D(X ), D(-2X ) = 4D(X )(方差無負值)
3.若X 、Y 相互獨立,則,證:記
前面兩項恰為 D(X )和D(Y ),第三項展開後為
當X、Y 相互獨立時,故第三項為零。特別地獨立前提的逐項求和,可推廣到有限項。
方差公式:
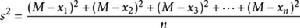
方差公式平均數:
(n表示這組數據個數,x、x、x……x表示這組數據具體數值)
方差公式方差公式:
常用分布
1.兩點分布
2.二項分布
X ~ B ( n, p )
引入隨機變數 Xi (第i次試驗中A 出現的次數,服從兩點分布)
3.泊松分布(推導略)
4.均勻分布
另一計算過程為
5.指數分布(推導略)
6.常態分配(推導略)
方差公式7.t分布 :其中X~T(n),E(X)=0;
;
方差公式8.F分布:其中X~F(m,n),
;
常態分配的後一參數反映它與均值 的偏離程度,即波動程度(隨機波動),這與圖形的特徵是相符的。
例2 求上節例2的方差。
解 根據上節例2給出的分布律,計算得到
工人乙廢品數少,波動也小,穩定性好。
公式
方差公式設一組數據x,x,x……x中,各組數據與它們的平均數x(拔)的差的平方分別是(x-x),(x-x)……(xn-x拔),那么我們用他們的平均數來衡量這組數據的波動大小,並把它叫做這組數據
的方差。
