內容
斯托克斯公式[數學公式]
斯托克斯公式[數學公式]
斯托克斯公式[數學公式]
斯托克斯公式[數學公式]
斯托克斯公式[數學公式]
斯托克斯公式[數學公式]
斯托克斯公式[數學公式]設 是具有邊界曲線廠的有向曲面, 的邊界曲線廠的正向這樣規定:使這個正向與有向曲面 的法向量符合右手法則.即當右手除大拇指外的四指依曲線 的繞行方向時,豎起的大拇指的指向與曲面 的法向量的指向一致.如此定向的邊界曲線 稱為有向曲面 的正向邊界曲線.
斯托克斯公式[數學公式]
斯托克斯公式[數學公式]
斯托克斯公式[數學公式]
斯托克斯公式[數學公式]
斯托克斯公式[數學公式]
斯托克斯公式[數學公式]
斯托克斯公式[數學公式]
斯托克斯公式[數學公式]設 為空間的一條分段光滑的有向曲線, 是以 為邊界的分片光滑的有向曲面, 的正向與 的側符合右手法則.函式 在曲面 (連同邊界 )上具有連續的一階偏導數,則
斯托克斯公式[數學公式]稱為斯托克斯公式。
證明
首先證明
斯托克斯公式[數學公式](1)
斯托克斯公式[數學公式]
斯托克斯公式[數學公式]
斯托克斯公式[數學公式]
斯托克斯公式[數學公式]
斯托克斯公式[數學公式]
斯托克斯公式[數學公式]
斯托克斯公式[數學公式]
斯托克斯公式[數學公式]
斯托克斯公式[數學公式]
斯托克斯公式[數學公式]先假定用平行於z軸的直線穿過曲面 時只有一個交點。的方向不妨取上側,它在xOy面上的投影區域為 ,而的邊界曲線在xOy面上的投影即為的邊界曲線L,且L的方向與方向一致,如圖所示.此時的方程可寫為.
設L的參數方程為
斯托克斯公式[數學公式]
斯托克斯公式[數學公式]從而的參數方程為
斯托克斯公式[數學公式]
斯托克斯公式[數學公式]t的增大方向對應於的正向,則由曲線積分計算法易於驗證
斯托克斯公式[數學公式]
斯托克斯公式[數學公式]由格林公式得
斯托克斯公式[數學公式]
斯托克斯公式[數學公式]
斯托克斯公式[數學公式]另一方面,的法向量,設其單位法向量,於是
斯托克斯公式[數學公式]
斯托克斯公式[數學公式]
斯托克斯公式[數學公式]從而,因此
比較得到
斯托克斯公式[數學公式]
斯托克斯公式[數學公式]
斯托克斯公式[數學公式]若的方向取下側,也相應地改取相反的方向,那么上式兩端同時改變符號,因此上式仍成立。
斯托克斯公式[數學公式]
斯托克斯公式[數學公式]當曲面與平行於z軸的直線的交點多於一個時,可通過分割的方法,把分成幾部分,使每一部分均與平行於z軸的直線至多交於一點,然後分片討論,再利用第二型曲線積分的性質,同樣可證式(1)成立 。
同理可證:
斯托克斯公式[數學公式](2)
斯托克斯公式[數學公式](3)
將式(1),(2),(3)兩端分別相加即得斯托克斯公式。
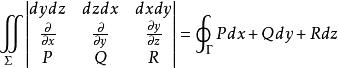
為了便於記憶,斯托克斯公式也常用如下的行列式來表示:
斯托克斯公式[數學公式]
斯托克斯公式[數學公式]
斯托克斯公式[數學公式]
斯托克斯公式[數學公式]
斯托克斯公式[數學公式]
斯托克斯公式[數學公式]
斯托克斯公式[數學公式]式左端的行列式按第一行展開,並把與的乘積理解為,與的乘積理解為,其他類似,展開後的表達式就是斯托克斯公式的左端。
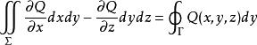
利用兩類曲面積分間的聯繫,可得斯托克斯公式的另一種形式如下:
斯托克斯公式[數學公式]
斯托克斯公式[數學公式]
斯托克斯公式[數學公式]其中為有向曲面的單位法向量。
斯托克斯公式[數學公式]當曲面是面xOy上的一塊平面閉區域時,斯托克斯公式就變成格林公式.因此斯托克斯公式是格林公式從平面形式到空間形式的一個推廣。
![斯托克斯公式[數學公式] 斯托克斯公式[數學公式]](/img/8/5d7/nBnauM3XxMTNzITM4UDN0ETN1UTM1QDN5MjM5ADMwAjMwUzL1QzL1UzLt92YucmbvRWdo5Cd0FmL0E2LvoDc0RHa.jpg)
