樸素貝葉斯
在採用貝葉斯公式來估計後驗機率P(c|x)的主要困難是:類條件機率P(x|c)是所有屬性上的聯合機率,難以從有限的訓練樣本直接估計得到。
為了避開這個障礙,樸素貝葉斯分類器採用了“屬性條件獨立性假設”:對已知類別,假設所有屬性相互獨立。換言之,假設每個屬性獨立地對分類結果發生影響。
但在現實任務中,這個假設往往很難成立,於是人們嘗試對屬性條件獨立性假設進行一定程度的放鬆,由此產生了一類“半樸素貝葉斯分類器”的學習方法。
正則化
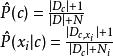
改進樸素貝葉斯在樸素貝葉斯中,計算聯合機率時,為了避免其他屬性攜帶的信息被訓練集中從未出現的屬性值“抹去”,在估計機率值時通常要進行“平滑”,常用“拉普拉斯修正”。具體來說,令N表示訓練集D中可能的類別數, 表示第i個屬性可能的取值數,則
改進樸素貝葉斯半樸素貝葉斯分類器
半樸素貝葉斯的基本思想是:適當考慮一部分屬性間的相互依賴信息,從而既不需要進行完全聯合機率計算,又不至於徹底忽略了比較強的相互依賴關係。“獨依賴估計”是半樸素貝葉斯分類器中最常用的一種策略。顧名思義,所謂“獨依賴”,就是假設每個屬性在類別之外最多依賴於一個其他屬性。
最直接的做法是假設所有屬性都依賴於同一個屬性,稱為“超父”(super-parent),然後通過交叉驗證等模型方法來確定超父屬性,由此形成了SPODE(Super-Parent ODE)方法。
TAN(Tree Augmented naive Bayes)則是在最大帶權生成樹(maximum weighted spanning tree)的基礎上,通過以下步驟將屬性間依賴關係約簡為如圖所示(c)的樹形結構:
改進樸素貝葉斯上圖是樸素貝葉斯與兩種半樸素貝葉斯分類器所考慮的屬性關係,其中,(a)是NB,(b)是SPEDE,(c)是TAN
步驟:
1)計算兩個屬性之間的條件互信息(conditional mutual information)
改進樸素貝葉斯
改進樸素貝葉斯2)以屬性為結點,構建完全圖,任意兩個結點之間邊的權重設為
3)構建此完全圖的最大權生成樹,挑選根變數,將邊置為有向。
4)加入類別結點 y,增加從 y 到每個屬性的有向邊。
改進樸素貝葉斯
改進樸素貝葉斯
改進樸素貝葉斯容易看出,條件互信息 刻畫了屬性 和 在已知類別情況下的相關性,因此,通過最大生產樹算法,TAN實際上保留了強相關屬性之間的依賴性。
貝葉斯網路
貝葉斯網路亦稱“信念網”,它藉助有向無環圖來刻畫屬性之間的依賴關係,並使用條件機率表來描述屬性的聯合機率分布。
改進樸素貝葉斯
改進樸素貝葉斯
改進樸素貝葉斯
改進樸素貝葉斯
改進樸素貝葉斯
改進樸素貝葉斯具體來說,一個貝葉斯網B由結構G和參數 兩部分構成,即 。網路結構G是一個有向無環圖,其每個結點對應一個屬性,若兩個屬性有直接依賴關係,則它們由一條邊連線起來;參數 定量描述這種依賴關係。假設屬性 在G中的父結點集為 ,則 包含了每個屬性的條件機率表
改進樸素貝葉斯