簡介
擺線族曲線亦稱旋輪類曲線 (cycloidal curve),是各種旋輪線的統稱。
長短幅圓內、外旋輪線的方程可以統一寫成
擺線族曲線它所表示的曲線稱為旋輪類曲線,m,g 和 e 決定曲線的形狀和大小。
擺線族曲線
擺線族曲線
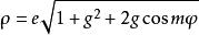
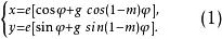
擺線族曲線式中 當 m>1 時是長(短)幅圓內旋輪線;當 m<1 時是長(短)幅圓外旋輪線。g=l/e 稱為形狀係數。 表示母圓與基圓中心間的距離,稱為偏心距。基圓 O 的半徑 曲線上點 M(φ) 處的法線必過母圓 Q 的轉動瞬心
擺線族曲線
擺線族曲線
擺線族曲線
擺線族曲線
擺線族曲線點 C 分 OQ 所成的比為 -m,點 M(φ) 到基圓中心 O 的距離 是周期性變化的,周期為 當母圓圓心 Q 繞 O 點旋轉一周時,φ 增加 2π,動點 M 描繪出 支拱弧,故城 m 為拱弧支數。當 時:
擺線族曲線1、若 (即l=r),則曲線(1)為圓內(外)旋輪線(有尖點)。
擺線族曲線2、若 (即l>r),則曲線為長幅圓內(外)旋輪線。
圖1.
擺線族曲線3、若 (即l<r),則曲線為短幅圓內(外)旋輪線。
套用
擺線族曲線
擺線族曲線旋輪類曲線是由兩個勻速旋轉運動合成的:點 Q 繞定點 O 旋轉的時候,同時動點 M 繞點 Q 旋轉,兩個旋轉的角速度之比為 1-m。每一條旋輪類曲線可以有兩種不同的創立方法,兩曲線 與 若且唯若
擺線族曲線
擺線族曲線時,這兩條曲線全等。當 時,曲線為橢圓,圖中表示兩它的兩種創立方法。點 P,P 沿直線 AA’ 運動,且滿足
擺線族曲線
擺線族曲線據此可設計出加工橢圓的機械或橢圓規。
當形狀係數 g=1 時,圖形是玫瑰線
擺線族曲線當 m=-1 時,圖形時帕斯卡蝸線
擺線族曲線旋輪類曲線廣泛套用於圖案設計、齒輪設計和機油泵、旋轉活塞發動機的缸體輪廓線等方面。

