定義
拉格朗日-格拉斯曼流形拉格朗日-格拉斯曼流形(Lagrangian-Grassmannian)是實辛向量空間中拉格朗日子空間上的光滑流形。若向量空間的維度是2n,則拉格朗日-格拉斯曼流形的維度是n(n+1)/2。該流形與齊性空間U(n)/O(n)同胚,其中U(n)是n維酉群,O(n)維n維正交群。Arnold記其為。
基本群與二階同倫群
該段落參考於Arnold (1967)。
拉格朗日-格拉斯曼流形對於一切正整數n,拉格朗日-格拉斯曼流形U(n)/O(n)的基本群為 。
計算同倫群所需交換圖表
拉格朗日-格拉斯曼流形
拉格朗日-格拉斯曼流形
拉格朗日-格拉斯曼流形可以證明,右側圖表可交換。其中det為行列式映射, 映射將元素 送到 。
拉格朗日-格拉斯曼流形
拉格朗日-格拉斯曼流形
拉格朗日-格拉斯曼流形因SU(n)是簡單連通的,SO(n)連通,故 ,由短正合序列 可知 。
拉格朗日-格拉斯曼流形
拉格朗日-格拉斯曼流形
拉格朗日-格拉斯曼流形再因 ,由短正合序列 可知拉格朗日-格拉斯曼流形的基本群為。
拉格朗日-格拉斯曼流形
拉格朗日-格拉斯曼流形
拉格朗日-格拉斯曼流形
拉格朗日-格拉斯曼流形
拉格朗日-格拉斯曼流形
拉格朗日-格拉斯曼流形
拉格朗日-格拉斯曼流形
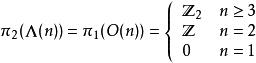
拉格朗日-格拉斯曼流形根據交換圖,有長正合序列。由正合性,,因,可以得到為單射,則,再由正和性知,那么上述長正合序列可斷為:。則拉格朗日-格拉斯曼流形的2階同倫群與O(n)基本群相同,即。
