拉伸過程
拉伸通常是在高於玻璃化溫度的條件下進行的。單軸取向和雙軸取向都能使高聚物產生各向異性(力學、光學、熱學、電學等),雙軸取向使平面內分子鏈的方向是無規的。結晶高聚物拉伸時其球晶能變形直至破壞,部分摺疊鏈片晶被拉成伸直鏈,在一定條件下可沿拉伸方向排列成規整而完全的伸直鏈晶體。高聚物在拉伸過程中形成的這種新結構通常稱為微絲晶結構。在其形成過程中伸直鏈段數目增加,摺疊鏈段數目減少,同時增加了片晶間的連線鏈,從而提高了高聚物的力學強度和韌性。
套用
單軸拉伸是提高化學纖維強度的一種重要手段。通常用纖維拉伸前後長度之比來定義纖維的拉伸比。隨著拉伸比的增加,纖維的模量和強度也都增加。在紡絲過程中希望儘可能多地生成伸直鏈結構來製得高強度、高模量的合成纖維(如聚芳醯胺類纖維)。薄膜單軸拉伸時與拉伸方向平行的強度隨著拉伸比的增加而增加。但垂直於拉伸方向的強度則隨之下降,高度的單軸拉伸薄膜甚至可導致高聚物微纖化。因此,它也是製造纖維的一種方法。雙軸拉伸是改進高聚物薄膜或薄片性能的一種重要方法。雙軸拉伸可用來防止單軸拉伸時在薄膜平面內垂直於拉伸方向上強度變差的缺點,雙軸拉伸的製品比未拉伸者具有較大的抗拉強度和抗衝擊韌性。因此,雙軸拉伸的薄膜可用於性能要求很高的電影片基和錄音磁帶、錄像磁帶等的帶基。
拉伸實驗
實驗概述
單軸拉伸實驗是研究材料機械性能的最基本、套用最廣泛的實驗。由於試驗方法簡單而且易於得到較為可靠的試驗數據,在工程上和實驗室中都廣泛利用單軸拉伸實驗來測取材料的機械性能。多數工程材料拉伸曲線的特性介於低碳鋼和鑄鐵之間,但其強度和塑性指標的定義與測試方法基本相同,因此通過單軸拉伸實驗分析比較兩種材料的拉伸過程,測定其機械性能,在機械性能的試驗研究中具有典型的意義,掌握其拉伸和破壞過程的特點有助於正確合理地認識和選用材料,了解靜載條件下結構材料的許用應力的內涵。
目的
1.通過單軸拉伸實驗,觀察分析典型的塑性材料(低碳鋼)和脆性材料(鑄鐵)的拉伸過程,觀察斷口,比較其機械性能。
2.測定材料的強度指標(屈服極限 、強度極限)和塑性指標(延伸率和面縮率)。
設備
1.電子萬能材料試驗機WDW-100A。
2.計算機、印表機。
3.遊標卡尺。
試樣
圖1 岩石試樣的單軸拉伸材料性能的測試是通過試樣進行的,試樣製備是試驗的重要環節,國家標準GB6397-86對此有詳細的規定。本試驗採用圓棒試樣,如圖1所示。試樣的工作部分(即均勻部分,其長度為 )應保持均勻光滑以確保材料的單向應力狀態。均勻部分的有效工作長度 稱為標距, 和 分別為工作部分的直徑和面積。試樣的過渡部分應有適當的圓角以降低應力集中,兩端的夾持部分用以傳遞載荷,其形狀與尺寸應與試驗機的鉗口相匹配。
材料性能的測試結果與試樣的形狀、尺寸有關,為了比較不同材料的性能,特別是為了使得採用不同的實驗設備、在不同的實驗場所測試的試驗數據具有可比性,試樣的形狀與尺寸應符合國家標準(GB6397-86)。例如,由於頸縮局部及其影響區的塑性變形在斷後延伸率中占很大比重,同種材料的延伸率不僅取決於材質,而且還取決於試樣標距。按國家標準規定,材料延伸率的測試應優先採用兩類比例試樣:
(1)長試樣: (圓形截面試樣),或 (矩形截面試樣)
(2)短試樣: (圓形截面試樣),或 (矩形截面試樣)
用長試樣和短試樣測得的斷後延伸率分別記做 和 ,國家標準推薦使用短比例試樣。
其他相關
將拉伸通過外力拉長一定長度(彈性變形範圍內),螺栓就具有一定回復的力(相當與將彈簧拉長),而這個力就可以將工件把緊。
SiC_p尺寸對鋁基複合材料拉伸性能的影響
碳化矽顆粒增強鋁基複合材料(SiC/AI)具有高比強度、高比模量、耐高溫、導電、導熱、熱膨脹係數小、尺寸穩定性好等優異的綜合性能,但由於SiC/AI複合材料塑韌性差,在航天領域的套用受到局限。除了熱處理和熱加工等因素,SiC本身如尺寸、分布對複合材料性能影響很大。對此研究工作者作了相當多的工作,但並未取得一致的見解。 在粉末冶金法中,合理選擇SiC的尺寸,對於製備性能優異、加工性能好的SiC/AI複合材料很有意義。
在現有工藝條件下對所製備的不同SiC尺寸增強鋁基複合材料的斷裂行為進行了探討,以期在設計材料時提供一定的依據。
尺寸變化對拉伸性能的討論
本實驗所使用的複合材料用同樣的工藝條件製備,因此可以認為不同尺寸顆粒增強的複合材料界面強度都是相同的。即使存在顆粒聚集,在實驗觀察中也並未發現顆粒和基體界面結合不好的現象。可以認為多數顆粒和基體的界面結合是好的。所以,複合材料所受的載荷能夠通過界面有效傳遞到增強顆粒上。大尺寸的SiC由於本身存在的晶體缺陷如層錯等較多,而且由於顆粒越大,基體和顆粒的界面積越大,通過界面傳遞到顆粒上的載荷越大,因此解理傾向較大,此外,在複合材料塑性變形過程中,大尺寸顆粒較難協同基體合金流動,由此容易產生應力集中也會導致顆粒開裂。小尺寸的SiC容易和基體合金一起發生塑性流動,而且由於其尺寸小,內部缺陷較少,因而解理傾向小,在界面結合良好的前提下,裂紋擴展將始終在基體合金內進行,直至試樣最終斷裂。
以上實驗結果表明,小尺寸增強顆粒能提高複合材料拉伸強度和屈服強度。根據Arsenault的理論研究,顆粒增強金屬基複合材料的屈服強度與顆粒和位錯的互動作用緊密相關,用Orowan機制來闡述
拉伸[科學術語]
拉伸[科學術語]
拉伸[科學術語]
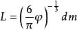
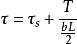
拉伸[科學術語]其中, 是剪下屈服強度, 為臨界剪下屈服強度,b是Burgers矢量,T是位錯線張力,L是平均顆粒間距。L可以用以下公式計算
拉伸[科學術語]
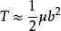
拉伸[科學術語]其中,是體積分數,d是平均顆粒直徑。而位錯線張力T由下式表示
其中,μ為切變模量。
在顆粒尺寸在微米級時,其尺寸對複合材料的強度影響機制不能通過Orowan機制來解釋。也就是說位錯與SiC的互動作用不是增強顆粒強化的主要方式在本實驗所使用的複合材料中,SiC的強化機制可能是通過界面載荷傳遞為主要的強化方式。大顆粒由於容易開裂,有可能成為裂紋源,所以不能起到很好的強化作用。另一方面,同樣體積分數下,與小顆粒相比,大顆粒在基體合金中間距較大,在熱處理過程中由於增強顆粒與基體合金的熱膨脹係數差異造成的位錯密度較低,而且顆粒周圍的位錯間距大,割階、塞積等相互作用較弱,因此屈服強度低,而塑性卻較好。另外,位錯密度的差異明顯會造成複合材料達到峰時效時間不同。本實驗中,對所有複合材料的熱處理工藝是相同的,小顆粒增強的複合材料達到峰時效時,大顆粒增強複合材料還處於欠時效狀態,由此導致性能差異。最後,在界面結合良好的前提下,後者界面數量較前者少,這也是其強度低而塑性高的原因。在這方面還需較多的微觀結構觀察來證明。
本實驗中,7μm的SiC增強效果最理想,這可能是以上所有因素共同作用的結果7μm的顆粒比3.5μm的SiC在尺寸上更接近鋁合金粉末,分布有可能會更理想,由此避免了由於顆粒積聚產生的界面結合不好等問題,所以其對應的複合材料強度要比3.5μm的SiC增強的複合材料要高。而且由於上述原因,其複合材料的強度要比10和20μm的SiC增強的複合材料強度高。
研究結論
SiC增強2024AI基複合材料的拉伸強度隨著SiC尺寸增加而減小,由於小尺寸顆粒在基體合金中的分布不如大尺寸顆粒分布均勻,因此塑性隨著顆粒尺寸增加而增加。另外,小尺寸增強複合材料斷裂是以界面附近的基體撕裂為主,大尺寸顆粒增強複合材料則以顆粒解理開裂為主。
![拉伸[科學術語] 拉伸[科學術語]](/img/a/69c/nBnauM3XwMDOzEzNyczN1ATN0UTMyITNykTO0EDMwAjMwUzL3czLzEzLt92YucmbvRWdo5Cd0FmL0E2LvoDc0RHa.jpg)
