正文介紹
折現值(present discounted value, PDV/discounted present value/discount value)
折現值概述
股票折現值的代數式首先打個比方:我打算現在往銀行里存一筆錢,銀行利率3%,五年後,我想要獲得本利和50000元,那么我現在應該存入銀行多少錢。現在存入的錢就是現值了。
常用到是淨現值,用NPV代表。淨現值是指投資方案所產生的現金淨流量以資金成本為貼現率折現之後與原始投資額現值的差額。淨現值法就是按淨現值大小來評價方案優劣的一種方法。淨現值大於零則方案可行,且淨現值越大,方案越優,投資效益越好。
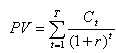
股票折現值的公式
股票折現值的公式是資本資產定價模型的代表。其一般化的代數式是: 見上圖!
定義公式
Present Discounted Value (PDV): Xt = Yt+1/1+i is the PDV of Yt+1
1.Xt represents the money equivalent in today’s dollars of the futureamount, Yt+1
Xt代表了未來的amount現在的價值
2.A market determined rate of intertemporal rate of exchange
市場決定跨時期匯率
