成份
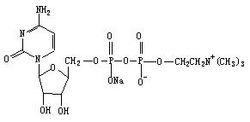
思考林本品主要成份為胞磷膽鹼鈉,其化學名稱為:膽鹼胞嘧啶核苷二磷酸酯單鈉鹽。
化學結構式:
分子式:CHNNaOP
分子量:510.31
思考林
思考林
【產品名稱】
胞磷膽鹼鈉膠囊
【英 文 名】
Citicoline Sodium Capsules
【成份】
胞磷膽鹼鈉。化學名稱:膽鹼胞嘧啶核苷二磷酸酯單鈉鹽。
【性狀】
本品為硬膠囊,內容物為白色顆粒。
【藥理毒理】
本品為核苷衍生物,通過降低腦血管阻力,增加腦血流而促進腦物質代謝,改善腦循環。另外,他可增強腦幹網狀結構上行激活系統的機能,增強錐體系統的機能,改善運動麻痹,故對促進大腦功能的恢復和促進甦醒,有一定作用。
【藥代動力學】
注入本品可迅速進入血流,並有部分通過血腦屏障進入腦組織。其中膽鹼部分在體內成為良好的甲基化供體,可對多種化合物有轉甲基化作用,約有1%的膽鹼可從尿中排出。
【適應症】
用於治療顱腦損傷和腦血管意外所引起的神經系統的後遺症,並可用於帕金森氏綜合症的治療。
【用法和用量】
每日三次,每次1-2粒,溫開水送服。穩定期一般是一次1粒,一日三次。
【不良反應】
偶見胃腸道反應,輕微,持續時間短。
禁忌
服用本品不可與有氯酯醒的藥物合用。
注意事項
使用本品前,請仔細閱讀藥品說明書;應遵醫囑使用。
孕婦及哺乳期婦女用藥
目前尚無孕婦及哺乳期婦女套用的資料。
老年用藥
未進行該項實驗且無可靠參考文獻。
藥物相互作用
迄今未發現本品與其它藥物之間發生的相互作用。
藥物過量
迄今未見有過量症狀的報告。
藥理毒理
未進行該項實驗且無可靠參考文獻。
藥代動力學
未進行該項實驗且無可靠參考文獻。
包裝
鋁塑包裝,12粒/板,1板/盒;2板/盒。
