平方根疊代法平方根疊代法(square root iterative method一種具有大範圍收斂性的方程求根疊代法.設.f<x是階數小於2的整函式,若f(二)只含實零點,則求方程.f<二)=0根的下述疊代法
稱為平方根疊代法.此法是1973年由奧斯特洛夫斯基(Ostrowski, A. M.)與徐利治各自獨立發現的(事實上,徐利治於1964年,在吉林大學討論班上就曾報告過此方法),而且他們都證明了平方根疊代法具有大範圍收斂性.
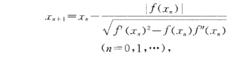
平方根疊代法(square root iterative method一種具有大範圍收斂性的方程求根疊代法.設.f
平方根疊代法平方根疊代法(square root iterative method一種具有大範圍收斂性的方程求根疊代法.設.f<x是階數小於2的整函式,若f(二)只含實零點,則求方程.f<二)=0根的下述疊代法
稱為平方根疊代法.此法是1973年由奧斯特洛夫斯基(Ostrowski, A. M.)與徐利治各自獨立發現的(事實上,徐利治於1964年,在吉林大學討論班上就曾報告過此方法),而且他們都證明了平方根疊代法具有大範圍收斂性.
疊代法也稱輾轉法,是一種不斷用變數的舊值遞推新值的過程,跟疊代法相對應的是直接法(或者稱為一次解法),即一次性解決問題。疊代算法是用計算機解決問題的一種...
方法介紹 套用 算法牛頓疊代法(Newton's method)又稱為牛頓-拉夫遜(拉弗森)方法(Newton-Raphson method),它是牛頓在17世紀提出的一種...
產生背景 牛頓疊代公式 示例 C語言代碼 C++代碼源於數值計算里的牛頓疊代法或切線法,即: 手動開方 ,其中的指數s是2...從個位起向左每隔兩位劃為一段,用撇號分開,分成幾段,表示所求平方根是幾位數...左邊第一段里的數,求得平方根的最高位上的數。(在右邊例題中,比5小的平方數...
數值計算方式 九章算術4.2.2 三角分解法4.2.3 平方根方法4.2.4 三對角帶狀陣解法...格式構造與收斂性4.3.2 雅可比疊代法(J)4.3.3 高斯一賽德爾疊代法(G—s)4.3.4 超鬆弛疊代法(SOR)4.3.5 對稱逐次超鬆弛...
基本相信 內容簡介 目錄 前言消去法4.2.2 三角分解法4.2.3 平方根方法4.2.4 三對角帶狀陣... 疊代格式構造與收斂性4.3.2 雅可比疊代法(J)4.3.3 高斯一賽德爾疊代法(G—s)4.3.4 超鬆弛疊代法(SOR)4.3.5 對稱...
內容簡介 圖書目錄人物介紹徐利治,原名徐泉涌,教授。1945年畢業於西南聯合大學數學系。次年加入中國共產黨。1949年、1950年先後在英國亞貝丁...
人物介紹 簡歷 生平 成就及榮譽 人物影響改進的平方根方法7追趕法8向量和矩陣的範數9誤差分析10殘量11線性離散不適定系統的求解習題第3章求解線性方程組的疊代法1向量序列的收斂性2一階線性定常疊代3Jacobi疊代法4Gauss—Seidel疊代法5疊代法...
內容簡介 目錄126 將一個正整數分解質因數 181 實例127 用疊代法計算平方根...083 組成數字的各位和 123 實例084 牛頓疊代法計算方程的根...平方根不等式 164 實例116 實數數列求和 165 實例117 求...
圖書信息 內容簡介 圖書目錄 創作背景質因數181實例127 用疊代法計算平方根 183實例128 若ab×ba...實例084 牛頓疊代法計算方程的根 124實例085 選單程式的列印... 163實例115 求解平方根不等式 164實例116 實數數列求和...
內容簡介 圖書目錄 創作背景