定義
總需求(Aggregatedemand)是經濟社會對物品和勞務的需求總量。在總量經濟學中,總需求是指整個社會的有效需求:它不僅指整個社會對物品和勞務需求的願望,而且指該社會對這些物品和勞務的支付能力。因此,總需求實際上就是經濟社會的總支出。由總支出的構成可知,在封閉經濟條件下,總需求由經濟社會的消費需求、投資需求和政府需求構成。
總需求函式(Aggregatedemandfunction)被定義為產出(收入)和價格水平之間的關係,它表示在某個特定的價格水平下,經濟社會需要多高水平的收入。它一般同產品市場與貨幣市場有關,可以從產品市場與貨幣市場的同時均衡中得到。總需求函式的幾何表示稱為總需求曲線。
表達式
產品市場和貨幣市場同時達到均衡時,一般價格水平為P,而國民收入為y。總需求函式可以表示為:
y=f(P)
在其他條件不變的情況下,當一般價格水平P提高時,均衡國民收入y就減少;當一般價格水平P下降時,均衡國民收入y就增加,二者的變動方向相反。
推導
由於總需求量是由單個經濟單位對商品和勞務的需求量加總而來,因而總需求量與價格總水平之間呈反方向變動。
在兩部門經濟中,總需求等於消費需求加投資需求。在既定的價格總水平下,經濟中的貨幣量是總需求量的貨幣反映。在經濟處於均衡狀態時,這些貨幣被用來滿足交易、預防和投機需求。交易和預防構成了消費需求,而用於投機的貨幣則通過金融市場轉化為投資需求。這樣,不同的價格水平決定了貨幣的實際購買力,從而決定了消費和投資需求量的大小。
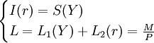
求函式公式由此可見,總需求函式可以通過產品市場和貨幣市場的一般均衡條件推導出來。假定投資函式為I=I(r),儲蓄函式為S=S(Y),貨市需求為L=L1(Y)+L2(r),貨市供給為m=M/P。在名義貨幣量M既定的條件下,總需求函式可以從IS一LM下列模型中得到從中消去利息率r,即得到總需 ?
求函式:
