介紹
巴拿赫極限
巴拿赫極限
巴拿赫極限
巴拿赫極限在數學分析中, 巴拿赫極限(英語:Banach limit)指的是定義在全體有界復序列組成的巴拿赫空間上,對每個 中的序列 和複數 滿足:
巴拿赫極限(1) (線性);
巴拿赫極限
巴拿赫極限
巴拿赫極限(2)若對每個 有 ,則 (正定性);
巴拿赫極限
巴拿赫極限(3) ,其中S是移位運算元,定義為 (移位不變性);
巴拿赫極限(4)若x是收斂序列,則 .
巴拿赫極限的連續線性泛函。
巴拿赫極限
巴拿赫極限
巴拿赫極限
巴拿赫極限因此, 是對連續線性泛函 的延拓,其中 是 中收斂到某個極限的全體序列組成的復向量空間。進而可以視為發散級數論中的一個可和法。
換句話說,巴拿赫極限是對通常意義下極限概念的延拓,並且是線性、移位不變、正定的。可以對某個序列找到兩個巴拿赫極限,使得各自作用下得到兩個不同的值,我們稱這類序列的巴拿赫極限不是唯一確定的。
作為上述性質的一個推論,每個實值巴拿赫極限也滿足:
巴拿赫極限巴拿赫極限的存在性通常需要套用哈恩-巴拿赫定理證明(分析學方法),也可以套用超濾子(這種方法在集合論的討論中出現得更頻繁)。這些證明都一定會用到選擇公理(即所謂的非構造證明)。
幾乎收斂
巴拿赫極限
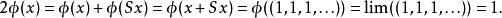
巴拿赫極限某些不收斂的級數在巴拿赫極限的作用下是唯一確定的。 例如 ,注意到 是常序列,並且
巴拿赫極限因此對每個巴拿赫極限而言,它以1/2為極限。
巴拿赫極限
巴拿赫極限我們將每個巴拿赫極限 下有相同的 的有界序列 x稱為幾乎收斂的。
Ba 空間
巴拿赫極限
巴拿赫極限
巴拿赫極限
巴拿赫極限
巴拿赫極限
巴拿赫極限
巴拿赫極限
巴拿赫極限
巴拿赫極限
巴拿赫極限
巴拿赫極限
巴拿赫極限在 中給定收斂序列 ,如果考慮對偶 ,x通常的極限並不由的某個元素給出。實際上是的連續對偶空間(對偶巴拿赫空間);反過來,雖然能誘導出中的連續線性泛函,但並不是全部。每個上的巴拿赫極限都是的對偶巴拿赫空間中的一個元素,但不在中。的對偶叫做ba空間,由一切自然數集子集的σ-代數上有限可加(符號)測度組成,或者等價地說是由每個自然數集的Stone–Čech緊化上的波萊爾(符號)測度組成。
