定義
蜂窩小區早期的移動通信是大區制,也就是在一個區域內建一個基站,且儘可能地提高該基站的信號覆蓋範圍,這種方法的好處是實現容易,設備簡單,但由於受功率和頻譜資源限制,系統容量有限,而且擴大容量很困難。因此後來人們提出了小區的方法,即將一個區域劃分成很多小的區域,即小區,每個小區用一個基站來進行信號覆蓋,相鄰的小區使用不同的頻率避免干擾,而相隔較遠的小區由於基站功率有限,可以使用相同的頻率且干擾程度很低,不足以對兩個小區用戶的通信質量產生致命的影響,這樣就實現了頻譜復用,大大提高了頻譜資源利用率,在相同的頻譜和頻寬資源下,相比較大區制的方法,由於頻譜的復用,系統容量得到很大的提升。
這種小區劃分區域的方法使得整個區域看起來像由很多蜂巢組成,因此小區又被稱之為蜂窩小區。
為了實現在整個區域內各個小區之間的無縫覆蓋,即用戶在區域內所有地方的通信質量不受影響,各個基站之間用移動交換中心進行控制和聯絡,移動交換中心不僅必須確切的知道每個用戶在區域中的位置,當用戶從一個小區移動到另外一個小區後,移動交換中心還要實施位置切換,將用戶的信息從一個小區切換到另外一個小區,當然移動交換中心還要根據業務需要,不斷在各個基站之間傳送控制指令和信息,由此可見小區制較之大區制在設備和技術上都要複雜得多,成本和投資也較大,但隨著電子技術和計算機技術的發展,無論是硬體還是軟體解決這些複雜問題都已日漸成熟,因此小區制的優點已遠遠勝過了它的缺點。
目前由於業務的需要,對小區覆蓋不到的地方人們又提出了微小區(微蜂窩小區)的技術,與之相比,通常的小區就稱之為宏小區(宏蜂窩小區)。微小區的發射功率小,覆蓋範圍也小,一般用於如地下室、隧道等宏小區覆蓋不到的地方,作為無線覆蓋的一種補充,同樣的思路,還有微微小區的技術,它的功率更小,通常用於覆蓋會議室等通信“熱點”區域。除此之外,目前智慧型小區的技術也已發展起來,它是指使用智慧型天線的基站所產生的信號小區。智慧型小區除了具有通常小區的優點之外,還具備智慧型天線所帶來的優點,例如載荷均衡方面,它可以利用智慧型天線的自適應特性智慧型判定用戶位置,根據實際情況調整傳送給用戶的信號功率大小,以及利用智慧型天線的定向波束確定用戶信號方向,從而有效抑制干擾信號等功能。目前智慧型小區的技術已經在基於LTE技術的4G網路中得到套用和發展。
另外,儘管目前小區制套用比較普遍,但由於大區制還是能夠滿足某些業務需求,因此一些專用網和公用網還是採用了大區的工作方式。
分類
大區制
大區制大區制,就是在一個服務區(如一個小城市)內,只設有一個基站,並由它負責移動通信的聯絡和控制,如右圖所示。通常為了擴大服務區域的範圍,基站天線架設得很高,發射機輸出功率也較大(一般在200 W左右),覆蓋半徑為30~50 km。但由於電池容量有限,通常移動台發射機的輸出功率較小,故移動台距基站較遠時,移動台可以收到基站發來的信號(即下行信號),但基站卻收不到移動台發出的信號(即上行信號)。為了解決兩個方向通信不一致的問題,可以在適當地點設立若干個分集接收站,以保證在服務區內的雙向通信質量。
小區[移動通信術語]
小區[移動通信術語]
小區[移動通信術語]
小區[移動通信術語]在大區制中,為了避免相互間的干擾,在服務區內的所有頻道(一個頻道包含收、發一對頻率)的頻率都不能重複。譬如,移動台 ,使用了頻率 、 ,那么,另一個移動台 就不能再使用這對頻率了,否則將產生嚴重的互相串擾,因而,這種體制的頻率利用率及通信的容量都受到了限制。
大區制的優點是:簡單、投資少及見效快,所以在客戶較少的地區,這種體製得到了廣泛的套用。根據我國的具體情況,在開展移動通信業務的初期,由於客戶較少,且主要是集中在經濟發達的縣市,為節省初期工程投資,通常也按大區制考慮。但是從長遠規劃來說,為了滿足客戶數量增長的需要,提高頻率的利用率,就需採用小區制的方式。
小區制
小區制
小區[移動通信術語]
小區[移動通信術語]小區制,就是把整個服務區域劃分為若干個小區,每個小區分別設定一個基站,負責本區移動通信的聯絡和控制。同時,又要在移動業務交換中心的統一控制下,實現小區之間移動客戶通信的轉接,以及移動客戶與固定客戶的聯繫。譬如,把一個大區制的服務區域一分為五,如右圖所示,每個小區各設一個小功率基站( ~ ),發射功率一般為5~10 w,以滿足各小區移動通信的需要。
小區[移動通信術語]
小區[移動通信術語]
小區[移動通信術語]
小區[移動通信術語]若是這樣安排,那么,移動台 在1區使用頻率 、 時,而在3區的另一個移動台 也可使用這對頻率進行通信,這是由於1區和3區相距較遠,且隔著2、4、5區,功率又小,所以使用相同頻率也不會相互干擾。在這種情況下,只需3對頻率(即3個頻道),就可與5個移動台通話。而大區制要與5個移動台通話,必須使用5對頻率。顯然,小區制提高了頻率的利用率,而且由於基站功率減少,也使相互間的干擾減少了。無線小區的範圍還可以根據實際客戶數的多少靈活確定。採用小區制,在移動台通話過程中,從一個無線小區轉入另一個無線小區的機率增加了移動台需要經常的轉換工作頻道。無線小區的範圍越小,通話中轉換頻道的次數就越多,這樣對控制交換功能的要求越高,再加上基站數量的增加,建網的成本就提高了,所以無線小區的範圍也不宜過小。
那么在實際工作中,無線小區的半逕取多大合適呢?這要綜合考慮,如日本800 MHz汽車電話系統,無線小區半徑確定為5—10 km。
蜂窩類型
為了使移動通信系統的業務容量最大,同時使移動台在各種速度時切換最少,除了最大限度地提高頻譜效率外,對於移動台諸如移動特性、輸出功率及所用業務類型等不同參數,使用不同類型的蜂窩可能是有利的。同一地理區域同時運用不同類型的蜂窩是可能的。
根據小區覆蓋的大小,蜂窩大體可分成巨區、宏區、微區及微微區,這些蜂窩類型的一些參數包括蜂窩小區半徑、終端速度、安裝地點、運行環境、業務量密度和適應系統。小區半徑決定了無線電可靠的通信範圍,它與輸出功率、業務類型、接收靈敏度、編碼及調製等有關,終端速度為基站與移動台的相對速度,與移動特性有關,其大小決定了區間切換的次數,基站的安裝高度與蜂窩半徑有關.半徑越大安裝高度也越大。
特性
區群的構成
小區[移動通信術語]
小區[移動通信術語]區群是指共同使用全部可用頻率的相鄰的Ⅳ個小區。區群的組成應滿足兩個條件;一是區群之間可以鄰接,且無空隙無重疊地進行覆蓋;二是鄰接之後的區群應保證各個相鄰同信道小區之間的距離相等。滿足上述條件的區群形狀和區群內的小區數不是任意的。可以證明,區群內的小區數應滿足如下關係
其中,i、j為正整數。由此可算出N的可能取值見右圖。例如:N的典型值為4、7、12,其N=4就是由i=0,j=2得到的。如AMPS系統中N=7,GSM系統中N=3或4。區群的組成如右圖所示。
同信道小區的確定
在小區制中,蜂窩無線網路被分配的頻率資源在相隔一定距離之後可以被另一個小區使用,這種頻率被多個間隔一定距離小區重複使用的過程,稱之頻率復用,使用相同頻率的小區稱為同信道小區,同信道小區確定步驟如下。
小區[移動通信術語](1)從已確定的小區中心沿著正六邊形的6條邊連續移動個小區。
小區[移動通信術語](2)將移動方向順時針旋轉。
小區[移動通信術語](3)再連續移動個小區就到達同信道小區。
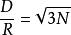
小區[移動通信術語]設D為使用同樣頻段的蜂窩區的最小中心間距,R為蜂窩小區的半徑,復用係數用D/R表示,則復用係數與區群內小區數目之間的關係為。
由上式可以看出,群內小區數目N越大,則同信道小區的距離就越遠,這樣抗同頻干擾的能力就越強。
激勵方式
兩種激勵方式
小區[移動通信術語]
小區[移動通信術語]激勵方式分為中心激勵和頂點激勵。中心激勵是指在每個小區中,基站可以設在小區的中央,用全向天線形成圓形覆蓋區。頂點激勵是指將基站設計在每個小區六邊形的3個頂點上,每個基站採用3副扇形輻射的定向天線,分別覆蓋3個相鄰小區的各l/3區域,每個小區由3副扇形天線共同覆蓋。這兩種激勵方式的示意圖如右圖所示。
![小區[移動通信術語] 小區[移動通信術語]](/img/a/377/nBnauM3X4IzNzMDNwYDMyMDN0UTMyITNykTO0EDMwAjMwUzL2AzLzMzLt92YucmbvRWdo5Cd0FmLwE2LvoDc0RHa.jpg)
